第4章 犯罪情勢と捜査活動

1 犯罪の発生と検挙の状況

(1) 犯罪の発生は戦後3番目
ア 全刑法犯の発生状況
 昭和56年の全刑法犯の認知件数(注1)は、146万3,228件で、前年に比べ10万5,767件(7.8%)増加した。
 全刑法犯認知件数と犯罪率(注2)の推移は、図4-1のとおりである。戦後の犯罪認知件数は、23年から25年までが最高のピークであったが、56年は25年を上回り、23、24年に次いで戦後3番目を記録した。しかし、犯罪率

図4-1 全刑法犯認知件数と犯罪率の推移(昭和23~25、47~56年)

をみると、56年は、25年の約7割程度である。
 56年の全刑法犯認知件数を、これに最も近い25年と包括罪種別に比べると、表4-1のとおりで、凶悪犯、粗暴犯、知能犯が大幅に減少した一方、窃盗犯が著しく増加している。
(注1)罪種別認知件数は、資料編統計4-2参照
(注2)犯罪率とは、人口10万人当たりの認知件数である。

表4-1 刑法犯包括罪種別認知件数の比較(昭和25、56年)

図4-2 凶悪犯認知状況(昭和47~56年)

イ 主な罪種の発生状況
(ア) 凶悪犯
 56年の凶悪犯認知件数は、8,711件で、前年に比べ195件(2.3%)増加した。これは、強盗が117件(5.3%)、殺人が70件(4.2%)、強姦(かん)が28件(1.1%)それぞれ増加したことによるものである。
 過去10年間の凶悪犯認知状況を指数でみると、図4-2のとおりである。
(イ) 粗暴犯
 56年の粗暴犯認知件数は、5万3,460件で、前年に比べ1,153件(2.2%)増加した。これは、主に、恐喝が1,218件(13.8%)増加したことによるものである。
 過去10年間の粗暴犯認知状況を指数でみると、図4-3のとおりである。

図4-3 粗暴犯認知状況(昭和47~56年)

(ウ) 窃盗犯
 56年の窃盗犯認知件数は、125万7,354件で、前年に比べ9万1,745件(7.9%)増加し、戦後の最高を記録した。
 住宅や事務所等の建物内に侵入して現金や品物をねらう侵入盗は1万853件(3.7%)、自動車、オートバイ、自転車等を盗む乗物盗は4万1,661件(10.8%)、万引きやかっぱらい等の非侵入盗は3万9,231件(8.0%)前年に比べそれぞれ増加した。
 過去10年間の窃盗犯認知状況を指数でみると、図4-4のとおりである。

図4-4 窃盗犯認知状況(昭和47~56年)

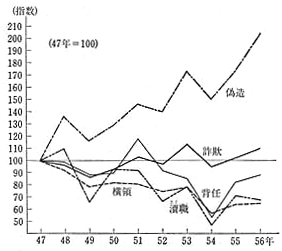
(エ) 知能犯

図4-5 知能犯認知状況(昭和47~56年)

 56年の知能犯認知件数(注)は、8万85件で、前年に比べ6,511件(8.8%)増加した。これは、主に、詐欺が4,752件(8.1%)、偽造が1,719件(17.6%)それぞれ増加したことによるものである。
 過去10年間の知能犯認知状況を指数でみると、図4-5のとおりである。
(注)知能犯の認知件数については、占有離脱物横領の認知件数を除く。なお、占有離脱物横領の認知件数については、資料編統計4-2を参照
(オ) 風俗犯
 56年の風俗犯認知件数は、7,236件で、前年に比べ139件(2.0%)増加した。罪種別にみると、猥褻(わいせつ)が増加し、賭博(とばく)は減少した。
 過去10年間の風俗犯認知状況を指数でみると、図4-6のとおりである。

図4-6 風俗犯認知状況(昭和47~56年)

(2) 検挙件数、検挙人員とも増加
ア 全刑法犯の検挙状況
 昭和56年の全刑法犯検挙件数(注1)は、87万513件、検挙人員(注2)は41万8,162人、検挙率は59.5%で、前年に比べ検挙件数は5万9,324件(7.3%)、検挙人員は2万6,049人(6.6%)それぞれ増加し、検挙率は0.3ポイント低下した。
 過去10年間の全刑法犯の検挙状況は、図4-7のとおりで、検挙件数、検挙人員、検挙率ともおおむね増加の傾向を示している。
(注1) 罪種別検挙件数は、資料編統計4-4を参照
(注2) 罪種別検挙人員は、資料編統計4-5を参照。なお、検挙人員には、触法少年を含まない。

図4-7 全刑法犯検挙状況(昭和47~56年)

イ 主な罪種の検挙状況
(ア) 凶悪犯
 56年の凶悪犯検挙件数は7,786件、検挙人員は7,516人、検挙率は89.4%で、前年に比べ検挙件数は389件(5.3%)、検挙人員は277人(3.8%)それぞれ増加し、検挙率も2.5ポイント上昇した。
 過去10年間の凶悪犯検挙状況を検挙率でみると、図4-8のとおりである。

図4-8 凶悪犯検挙状況(昭和47~56年)

(イ) 粗暴犯
 56年の粗暴犯検挙件数は4万9,220件、検挙人員は6万9,711人、検挙率は92.1%で、前年に比べ検挙件数は1,004件(2.1%)、検挙人員は1,191人(1.7%)それぞれ増加したが、検挙率は前年並みであった。
 過去10年間の粗暴犯検挙状況を検挙率でみると、図4-9のとおりである。

図4-9 粗暴犯検挙状況(昭和47~56年)

(ウ) 窃盗犯
 56年の窃盗犯検挙件数は68万8,085件、検挙人員は26万6,928人、検挙率は54.7%で、前年に比べ検挙件数は4万6,703件(7.3%)、検挙人員は1万8,539人(7.5%)それぞれ増加したが、検挙率は0.3ポイント低下した。
 過去10年間の窃盗犯検挙状況を検挙率でみると、図4-10のとおりである。

図4-10 窃盗犯検挙状況(昭和47~56年)

ウ 年齢層別の検挙人員
 56年の全刑法犯検挙人員41万8,162人の年齢層別構成比をみると、14~19歳が44.3%を占めて最も多く、20~29歳が17.2%でこれに次いでいる。検挙人員の年齢層別構成比の推移をみると、図4-11のとおりで、14~19歳の構成比が増大している。

図4-11 検挙人員の年齢層別構成比の推移(昭和47~56年)

図4-12 年齢層別犯罪者率の推移(昭和47~56年)

 過去10年間の年齢層別の犯罪者率(注)の推移は、図4-12のとおりで、14~19歳が著しい上昇傾向にある。
(注) 犯罪者率とは、人口10万人当たりの全刑法犯検挙人員をいう。
(3) 国際比較
 昭和55年の凶悪犯罪である殺人、強盗の犯罪率を我が国と欧米主要4箇国と比べると、図4-13のとおりである。殺人は、日本が1.4件で最も低く、アメリカの約7分の1となっている。強盗は、日本が1.9件で、アメリカの約128分の1、イギリスの約16分の1となっている。
 また、検挙率を比べると、殺人は、日本が97.2%で最も高く、次いで西ドイツ(95.6%)、イギリス(88.1%)、フランス(79.4%)、アメリカ(72.3%)の順となっており、強盗は、日本が75.5%で最も高く、次いで西ドイツ(53.0%)、イギリス(28.8%)、フランス(26.4%)、アメリカ(23.8%)の順となっている。

図4-13 殺人、強盗の犯罪率の国際比較(昭和55年)

2 犯罪の特徴的傾向

(1) 新しい形態の犯罪の多発
 都市化の進展、交通手段の発達、科学技術の普及等によって社会の変遷は著しく、これを反映して、近年、金融機関対象強盗事件、通り魔事件、コンピュータ犯罪、国際犯罪等の新しい形態の犯罪が多発している。
ア 金融機関対象強盗事件
(ア) 過去最高の発生
 昭和52年以降大幅な増加を続けてきた金融機関対象強盗事件は、56年には172件発生し、前年を22件上回る過去最高の発生件数となった。
 過去10年間の金融機関対象強盗事件の発生件数、検挙件数の推移は、図4-14のとおりである。56年の未遂事件は、64件と全体の37.2%を占めてお

図4-14 金融機関対象強盗事件の発生件数、検挙件数の推移(昭和47~56年)

り、前年に比べ16件増加した。
 最近5年間の金融機関対象強盗事件の発生件数の推移を金融機関別にみると、表4-2のとおりである。

表4-2 金融機関対象強盗事件の金融機関別発生件数の推移(昭和52~56年)

 なお、56年の金融機関対象強盗事件による被害総額は約2億2,200万円であり、1件当たり(未遂事件を含む。)の被害額は約129万円である。
(イ) 悪質化、巧妙化する犯行
 犯行の態様をみると、猟銃等の銃器を使用した事件が13件、犯行の際銀行員、顧客等の身体を一時的に拘束する事件が49件といずれも前年を上回っており、犯行の悪質化が進んでいる。
 また、盗難車を利用した事件が67件(39.0%)、覆面をして犯行に及んだ事件が135件(78.5%)といずれも前年を上回っており、犯行の巧妙化が進んでいる。
(ウ) 被疑者の特徴
 検挙した被疑者103人を職業別にみると、無職者が最も多く、56人で全体の54.4%を占めており、年齢層別にみると、30歳代が43人(41.7%)と最も多く、次いで20歳代が25人(24.3%)となっている。また、サラ金からの借金の返済を動機とするものは、59人(57.3%)である。
〔事例〕 経営不振に陥った広告代理業の男(31)が、1月20日、相模原市内の信用組合に押し入り、職員に猟銃を突き付けて脅迫し、現金約940万円を強奪して、盗んだ自動車で逃走した。さらに、4月8日、飯能市内の信用金庫から、同様の方法で現金約450万円を強奪した。犯行に利用した盗難車から犯人が持ち去った高速道路回数通行券を手掛かりに捜査を進め、これを使用した自動車を割り出し、4月9日、被疑者を逮捕した(神奈川、埼玉)。
イ 通り魔事件
(ア) 発生、検挙の状況
 56年の通り魔事件(注)の発生、検挙の状況は、表4-3のとおりで、通り魔事件のうち殺人事件は7件、傷害、暴行、器物損壊事件は247件発生した。
(注) 通り魔事件とは、人の自由に通行できる場所において、確たる動機がなく、通りすがりに不特定の者に対し、凶器を使用するなどして殺傷等の危害(殺人、傷害、暴行、器物損壊等)を加える事件をいう。

表4-3 通り魔事件の発生、検挙状況(昭和56年)

〔事例1〕 覚せい剤を使用していた元すし店員(29)は、社会に疎外感を抱き、また、就職がうまくいかないことにむしゃくしゃして、6月17日、江東区内の路上で、通り掛かった主婦(27)、幼稚園児(3)ら4人を次々に刺殺し、2人に重軽傷を負わせた。さらに、通行中の主婦(33)を人質にとって付近の中華料理店に立てこもったが、7時間後、被害者が逃げ出そうとしたのを機会に、すし店員に変装した捜査員が突入し、被疑者を逮捕した(警視庁)。
〔事例2〕 覚せい剤が切れてむしゃくしゃしていたトラック運転手(33)が、9月29日、自宅から刺身包丁を持ち出し、付近で遊んでいた小学5年生(11)ら4人にいきなり襲い掛かり、重軽傷を負わせ、さらに、焼肉店に火炎びんを投げ込み、店内に居た客(38)の上衣に燃え移らせ、これを消そうとした客(38)にやけどを負わせた。9月29日逮捕(大阪)
(イ) 被疑者の特徴
 検挙した通り魔事件の被疑者78人を学職別にみると、無職者が31人(39.7%)、工員、土工が14人(17.9%)、中学生が13人(16.7%)であり、また、20歳以上の被疑者53人のうち45人(84.9%)は独身者である。
 精神障害者、精神障害の疑いのある者は、表4-4のとおり23人と、被疑者の29.5%を占めている。
 犯行の原因を被疑者の供述からみると、性的不満等の何らかの欲求不満が原因となっている場合が多い。
(ウ) 被害者は女性、年少者が多い
 通り魔事件の被害者331人のうち、女性が252人(76.1%)、15歳以下のものが85人(25.7%)であり、通り魔事件の多くは女性、年少者等の弱者に対して向けられている。

表4-4 通り魔事件の精神障害者等別検挙人員(昭和56年)

(エ) 都市部において多発
 事件の発生地域をみると、人口10万人以上の都市で発生したものが84.3%に上っており、56年の全刑法犯発生件数のうち人口10万人以上の都市で発生したものの割合(70.4%)と比べると、通り魔事件は都市部において多発する犯罪といえる。
ウ コンピュータ犯罪
 近年、コンピュータ技術の発達は著しく、コンピュータは種々の領域に急速に普及しつつある。このような情勢を背景として、56年には、金融機関の現金自動支払システムを利用した犯罪(以下「CD犯罪」という。)をはじめ、各種のコンピュータ犯罪が多発した。
(ア) CD犯罪
 CD犯罪は、56年には288件(注)発生し、前年に比べ76件増加した。犯行の態様をみると、窃取したキャッシュカードを使用したものが240件(83.3%)で最も多いが、偽造したキャッシュカードを使用したものも大阪等4府県で28件発生している。50年から56年までのCD犯罪の発生件数、検挙件数の推移は、図4-15のとおりである。
 また、犯人がキャッシュカードの暗証番号を知った方法をみると図4-16のとおりで、被害者が暗証番号の管理に注意すれば容易に被害を防げた場合が多い。
(注)同一犯人が、同一のキャッシュカードを使用し、同一場所、同一日に2回以上の犯罪を行った場合は1件として計上した。

図4-15 CD犯罪の発生件数、検挙件数の推移(昭和50~56年)

図4-16 犯人がキャッシュカードの暗証番号を知った方法(昭和56年)

〔事例〕 元銀行員(28)が、勤務していた相互銀行からキャッシュカードの台紙と顧客の暗証番号とを盗み出し、銀行の機械を利用してキャッシュカードを偽造し、これを使用して、10月9日から12日にかけて、大阪市内の現金自動支払機から24回にわたり、総額1,660万円を引き出し、10月22日に国外に逃亡した。ICPOルートによる国際手配を実施した結果、台湾に潜伏している旨の通報があり、12月24日、国外退去となったところを逮捕した(大阪)。
(イ) CD犯罪以外のコンピュータ犯罪
 CD犯罪以外のコンピュータ犯罪は、46年以降、56年までに24件を把握しているが、その犯行の態様をみると、コンピュータに不正のデータを入力することにより不法に財物を得たものが17件、コンピュータに入力されているデータを不正な方法で入手したものが3件、コンピュータを破壊したものが1件、権限なくコンピュータを使用したものが3件となっている。
56年には、10件を把握しており、被害額の大きい計画的犯行が目立っている。
〔事例1〕 銀行の女子行員(32)が、愛人と共謀の上、あらかじめ同銀行の5支店に架空人名義の預金口座を開設しておき、3月25日、端末装置を操作してその口座に振替入金があったように打鍵(けん)し、大阪、東京の3支店の窓口で、現金、小切手総額1億3,000万円をだまし取って、その日のうちに国外に逃亡した。ICPOルートによる国際手配を実施した結果、フィリピンに潜伏している旨の通報があり、9月10日、国外退去となったところを逮捕した(大阪)。
〔事例2〕 金融会社の営業総括担当(45)が、社員7人と共謀して解約者の口座等を利用し、これらに対し貸付けを行ったかのように経理処理した上、コンピュータのプログラムを改変して、その事実が分からないように工作し、51年から55年までの間に、総額1億2,000万円を横領した。10月14日逮捕(大阪)
エ 国際犯罪
(ア) 来日外国人犯罪の増加
 日本国内における来日外国人の刑法犯検挙人員の推移は、図4-17のとおりで、56年は963人で、前年に比べ181人増加している。また、国際的常習犯罪者による悪質な犯罪が目立った。
〔事例〕 55年6月から56年8月にかけて、アルゼンチン国籍の詐欺常習犯2人が、盗んだり、偽造したりした小切手約300枚を国内各地の銀行で使用して現金約1億円をだまし取った。9月21日逮捕(警視庁、神奈川、福岡)
(イ) 国外における日本人の犯罪の悪質化
 国外における日本人の犯罪は悪質化しており、56年には、日本人留学生が外国人を殺害するなどの事件が相次いだ。また、被害者を海外へ連れ出して殺害する悪質な保険金目的殺人事件を、フィリピン警察の協力を得て検挙した。

図4-17 日本国内における来日外国人の刑法犯検挙人員の推移(昭和47~56年)

 国外において検挙された日本人で、ICPO等を通じて警察庁に通報されたものの推移は図4-18のとおりで、56年は127人と前年に比べ16人増加した。
〔事例1〕 6月13日、フランスに留学中の学生(32)が、パリ市内のアパートにおいて、級友のオランダ人女子学生(25)をカービン銃で射殺した上、死体をばらばらにして遺棄した。6月15日逮捕(フランス国警察)
〔事例2〕 54年6月11日、酒類販売業者(35)、まあじゃん屋経営者(43)が、保険金をだまし取る目的で、友人(40)に多額の保険金を掛けてフィリピンのマニラ市に誘い出し、現地人の殺し屋を雇って殺害させた。56年8月25日逮捕(神奈川)
(ウ) 目立った重大犯罪の被疑者の国外逃亡
 56年には、重大犯罪を行うに当たりあらかじめ旅券、航空券を用意し、犯行後直ちに国外に逃亡する事案が目立った。指名手配されている被疑者で国

図4-18 日本人による国外犯罪の推移(昭和47~56年)

外に逃亡したとみられるものは、56年12月31日現在、135人に上っている
(112ぺージ〔事例〕、113ページ〔事例1〕を参照)。
(2) 悪質化、巧妙化した凶悪犯罪
ア 身の代金目的誘拐事件
 身の代金目的誘拐事件は、昭和56年には6件発生し、うち1件は被拐取者が殺害されている。犯人が現金持参場所を頻繁に変更したり、犯人の行動が広域にわたることが多いなどの特徴がみられ、犯行はますます巧妙化している。
〔事例〕 多額の負債を抱えた地方公務員(36)が、7月22日、主婦(58)に対し、クロロホルムを浸したタオルを鼻に押し付け、失神させて誘拐し、身の代金5,000万円を要求する一方、被拐取者をその日のうちに山小屋に監禁し、身体を強く縛った上、放置して窒息死させた。7月24日逮捕(山梨)
イ 人質立てこもり事件
 人質立てこもり事件は、56年には24件発生しており、依然として多発する傾向にある。事件の被疑者26人のうち14人(53.8%)は、覚せい剤中毒又は精神障害による被害妄想等によって犯行に及んだものである。
ウ 保険金目的殺人事件
 保険金目的殺人事件は、56年には4件検挙している。内容的には替え玉殺人事件、外国において殺し屋を雇って殺害した事件等悪質、巧妙なものが目立った。保険金のへん取率は極めて低く、検挙した事件のうち保険金をだまし取ることに成功したものはわずか1件である。
〔事例〕 多額の負債を抱え、経営に行き詰まった鮮魚卸販売商(42)が、妻ら2人と共謀し、自らが被保険者となっている総額3億1,900万円に上る生命保険契約があることを利用し、年齢、体格等が自己に似ている他の男性を殺害して、自己が死亡したものとして保険金をだまし取ろうと企て、1月21日、競艇場で知り合った土木作業員(46)を金属バットで殴打し、車ごと海中に転落させてでき死させた。1月28日、妻ら共犯2人を逮捕したが、翌日、主犯は、鉄道自殺した(佐賀)。
エ その他の特異な凶悪事件
 56年には、クロロホルムや青酸カリ等を利用した殺人、強盗、強姦(かん)等の薬物利用犯罪が190件発生し、前年に比べ111件(140.5%)増加した。また、マンションやアパートのエレベーター内を利用した計画的な強盗、強姦(かん)等のいわゆるエレベーター犯罪が71件と多発した。
 このほか、死体を土中に埋めたり、水中に遺棄するなどの死体隠ぺい事件が55件発生し、前年に比べ15件(37.5%)増加し、殺人事件の悪質化、巧妙化が一層進んでいる。
(3) 多様化、巧妙化した知能犯罪
ア 悪質化、巧妙化した贈収賄事件
 昭和56年の贈収賄事件の検挙事件数は112件、検挙人員は739人で、前年に比べ事件数が10件、検挙人員が38人増加している。検挙事件の内容をみると、土木建築工事等の施行をめぐるものが多く、犯行が悪質化、巧妙化するなどの特徴がみられた。最近5年間の贈収賄検挙事件数、検挙人員の推移は、図4-19のとおりである。

図4-19 贈収賄検挙事件数、検挙人員の推移(昭和52~56年)

(ア) 依然として多い公共工事をめぐる贈収賄事件
 公共投資の伸び悩みによる建設業界の過当競争により、56年には、国又は地方公共団体が発注する道路、河川工事、上下水道敷設工事、学校の建築工事等各種公共工事の施行をめぐるものが、検挙事件の過半数を占めた。これらの中には、入札予定価格や設計金額を漏示するもの、贈賄業者が談合しやすいように指名業者を組み合わせるものなど行政の公正を著しく阻害するものがみられた。
 56年の贈収賄検挙事件の態様別の構成比は、図4-20のとおりである。

図4-20 贈収賄検挙事件の態様別構成比(昭和56年)

〔事例1〕 堺市議会議員(44)が、同市発注に係る学校建築工事について、建設業者から機密事項である設計金額を聞き出してもらうよう依頼を受け、同市幹部職員からこれを聞き出して業者に教示し、その謝礼として現金等80万円を収賄した。9月29日逮捕(大阪)
〔事例2〕 幡西衛生処理組合事務局長(48)らが、同組合発注に係る地質調査ボーリング工事の請負業者選定、契約の締結等に関し、入札執行の事実をねつ造するなど職務上不正の行為をなし、その謝礼として建設業者から現金等約130万円を収賄した。5月28日逮捕(高知)
(イ) 増加した要求型事件
 検挙事件112件の犯行手口をみると、収賄被疑者がわいろを要求する、いわゆる要求型事件が61件で、全体の54.5%を占め、前年に比べ21件増加した。また、収賄被疑者がわいろを収受して職務上の不正行為を行うものが目立ち、犯行の悪質化、巧妙化がみられた。
〔事例1〕 白石営林署担当区事務所主任(36)が、国有林内の立木の盗伐を見逃すなどの便宜を図り、その謝礼として材木商らにわいろを要求し、現金等総額約400万円を収賄した。5月30日逮捕(宮城)
〔事例2〕 国立熱海病院第一外科医長(54)が、刑の執行停止を受けている暴力団組長についての検察庁からの病状照会に対し、内容虚偽の診断書を作成して回答するなど職務上不正の行為をなし、その謝礼として現金等総額約810万円を収賄した。1月7日逮捕(静岡)
(ウ) 目立った地方公務員による贈収賄事件
 検挙した収賄被疑者総数235人のうち、地方公務員が188人と全体の80.0%を占め、圧倒的に多い。この中には、地方公共団体の首長や地方議員も含まれている。
〔事例〕 東根市長(60)が、自己の私設秘書らと共謀するなどして、各種公共工事の指名業者選定、入札執行等に便宜を図り、その謝礼として建設業者から現金総額1,100万円を収賄した。2月12日逮捕(山形)
イ 多様化した知能犯罪
 56年に検挙した、贈収賄事件を除く知能犯罪の特徴をみると、金融機関のオンラインシステムを利用した詐欺事件や、失業、住宅、中小企業等各種対策事業に伴って実施される融資制度をめぐる詐欺事件が多発するとともに、精巧な5,000円札の偽造、行使事件が発生するなど、知能犯事件の多様化が目立った。
〔事例1〕 建設会社の社長(43)らが、雇用したことのない者をあたかも自己の経営する会社から離職したかのように装って被保険者資格喪失届証を偽造し、これを公共職業安定所長に提出して、失業の認定を行わせ、雇用保険法に基づく短期雇用特例一時金を銀行口座に振替入金させて、総額約1,500万円をだまし取った。1月22日逮捕(滋賀)
〔事例2〕 電気商(35)らが、千葉市等の保証により金融機関が中小企業者に事業資金を融資する場合に、審査手続が形式的なものであることに目をつけ、虚偽の納税証明や確定申告書を利用し、事業を営んでいないのにあたかも中小企業を経営しているかのように装って、中小企業融資金約3,500万円をだまし取った。9月25日逮捕(千葉)
〔事例3〕 不動産会社社長(33)らが、住宅ローン会社の行う融資が損害保険によって担保されているために安易に行われていることに目をつけ、実際は低廉な土地を高額なものと偽って担保として提供し、次々と融資を受けては焦げ付かせて、223回にわたり、総額約24億6,600万円をだまし取った。7月17日逮捕(鹿児島)

3 暴力団対策の推進

(1)暴力団の現況と動向
ア 寡占化傾向にある暴力団組織
 暴力団の団体数、構成員数は、昭和38年以降減少傾向にあり、56年末現在2,452団体、10万3,263人で、前年に比べ35団体(1.4%)、692人(0.7%)それぞれ減少している。また、大規模広域暴力団として警察庁が指定した7団体の56年における勢力状況は、表4-5のとおり1,052団体、3万2,960人で、前年に比べ47団体(4.7%)、617人(1.9%)それぞれ増加し、全暴力団に占める割合は、前年に比べ団体数が2.5%、構成員数が0.8%それぞれ増加した。
イ 新たな段階を迎えた暴力団情勢
 7月23日、我が国最大の広域暴力団山口組の組長が死亡したことによって、全国の暴力団情勢は新たな段階を迎え、跡目相続をめぐる山口組内の内

表4-5 指定7団体勢力状況(昭和56年)

粉や、対立関係にある団体との抗争の再燃が懸念される。
(2) 暴力団犯罪の現況
ア 検挙件数、検挙人員とも増加
 昭和56年の暴力団員による犯罪の検挙状況をみると、検挙件数は6万7,057件、検挙人員は5万2,670人で、前年に比べ検挙件数は4,040件(6.4%)、検挙人員は423人(0.8%)それぞれ 増加した。このうち、指定7団体の検挙件数は2万8,411件、検挙人員は2万3,137人で、前年に比べ検挙件数は1,907件(7.2%)、検挙人員は1,564人(7.2%)それぞれ増加した。検挙された暴力団員の罪種別構成比(注)は図4-21のとおりで、覚せい剤、傷害、賭博(とばく)の順となっており、覚せい剤、賭博(とばく)等の資金獲得犯罪は増加している。
(注) 罪種別検挙件数は、資料編統計4-10参照

図4-21 検挙された暴力団員の罪種別構成比(昭和56年)

イ 多様化、知能化する資金獲得犯罪
 暴力団の資金獲得活動をみると、覚せい剤取引、賭博(とばく)、のみ行為等の伝統的なものが依然として多いが、最近は、これらに加えて、倒産整理に介入した恐喝、保険制度を悪用した詐欺等広く経済活動等に巧妙に介入する事案が多発している。
〔事例1〕 山口組系加茂田組内飯田組組長(43)ら6人は、55年5月から同年11月までの間、住宅販売会社と工務店が倒産したのを奇貨としてこれらの倒産整理に介入し、同社に対する架空の各種権利を設定した上、両社の債権者から現金4,800万円を恐喝した。56年7月16日逮捕(大阪)
〔事例2〕 山口組系伊豆組内三合会会長(36)ら暴力団員44人は、外科医院長を抱き込み、共謀の上、52年4月から55年9月までの間、福岡、佐賀等5県下で前後32回にわたり、故意に交通事故を起こし、これにより傷害を負ったと偽って、損害保険会社から総額約3億6,100万円をだまし取った。55年11月から56年7月までの間に、全員を逮捕した(福岡)。
ウ 多発した銃器発砲事件
 暴力団員によるけん銃等の銃器発砲事件は、55年以降増加傾向にあり、56年には116件発生し、前年の94件に比べ22件(23.4%)増加した。これによる死者は15人、負傷者は30人であった。
 なお、暴力団の対立抗争事件は、56年には26事件、56回発生し、前年に比べ8事件、7回減少した。
(3) 暴力団対策の推進
ア 集中取締りの展開
 大規模広域暴力団組織を分断し、解体するため、全国的な連携を密にして集中的な取締りを展開している。昭和55年の2回の取締りに引き続き、56年は6月から7月にわたり、山口組、稲川会を対象とした取締りを実施して2,747人を検挙し、さらに、9月から10月にわたり、組長死亡後の山口組を対象とした取締りを実施して、2,147人を検挙した。
イ 民事介入暴力対策の推進
 民事介入暴力(注)に対しては、54年に警察庁が設置した「民事介入暴力対策センター」を中心に、総合的な対策を推進しており、日本弁護士連合会との実務者会議を行うなど、関係各方面との連携を強めている。また、各都道府県警察に専門の担当官を置き、相談受理体制を充実するとともに、それぞれの弁護士会との連携の強化を図るなど、市民保護の徹底に努めている。
 56年に警察が受理した民事介入暴力事案は9,665件で、前年に比べ792件(8.9%)増加している。その内容をみると、債権取立てや金銭貸借をめぐるものが2,551件(26.4%)と最も多く、次いで、交通事故の示談等をめぐるものが1,150件(11.9%)となっている。受理したもののうち1,201件(12.4%)については、恐喝、傷害等の刑事事件として処理し、犯罪を構成しないものについても、市民保護の立場から適切な助言、指導を行っている。
(注)民事介入暴力とは、暴力団組織の威嚇力を背景として、一般市民の日常生活や経済取引に民事上の当事者や関係者等の形をとって介入し、不法に金員を獲得するものをいう。
ウ 総会屋対策の推進
(ア) 商法改正に伴う総会屋の動向
 総会屋に占める組織暴力団員の数は、56年12月末現在1,656人(26.2%)であり、51年の2.7倍となっている。
 総会屋排除のための法制上の施策として、56年には商法の一部改正が行われ、株主権の行使に関し財産上の利益を供与し、又はこれを受けた者を罰する規定(第497条)が新設された。この改正商法の施行を57年10月1日に控え、総会屋は、株主総会での活動に加えて、政治団体を結成して政治献金を受けたり、新聞、雑誌を発行して購読料、広告料等の名目で企業から利益供与を受けようとするなど、多様化の傾向を強めている。
(イ) 総会屋対策
 56年には、恐喝等で総会屋499人を検挙した。また、56年12月末現在で、総会屋締め出しのための自主防衛団体が80団体(2,778社加盟)組織されており、賛助金の打切り等の成果をあげている。総会屋対策を一層効果的に推進するために、総会屋取締り体制の整備、強化を行い、総会屋の違法行為の徹底検挙に努めるとともに、各企業に対し、厳しい姿勢をもって総会屋を締め出すよう指導している。
エ 国際協力の推進
 近年、国際交流が盛んになるにつれて、暴力団の海外における活動も活発化し、けん銃、覚せい剤の密輸入事件が多発している。このような事態に対処して、56年11月には、日米両国の捜査協力体制を確立するため「第2回日米暴力団対策会議」を開催し、また、東南アジア諸国とも捜査に関する国際協力の推進に努めている。

オ 暴力排除活動の推進
 暴力団を根絶するためには、警察による検挙活動とともに、暴力団取締りに対する幅広い国民各層の理解と協力とが不可欠である。
 警察では、他官庁や民間団体との連携の緊密化を図り、保険業界との対策協議会や関係機関との公共料金不払対策協議会等を結成し、活発な活動を促進している。これらの動きに呼応して、国民の暴力排除機運は高まっており、各地で暴力団事務所の締め出しや進出阻止、義理かけ(暴力団が行う襲名披露、出所祝い、葬儀、法要等の行事)の規制が成功し、また、公共工事請負業者の指名からの排除が実現した事例もみられ、暴力排除活動は大きな成果を収めた。
〔事例〕 福岡県警察は、暴力団を公共工事から締め出すため、県の定める建設業者の指名選定に関する要綱に、暴力団関係業者を指名業者から排除する旨の規定を設けることにつき県当局と協議し、その結果、5月に同要綱が改正された。さらに、県警では、実態調査によって判明した21の暴力団関係業者を県当局に通報し、これらの業者の公共工事からの排除に成功した(福岡)。

4 犯罪情勢の変化に対応した捜査活動の推進

 近年、社会の著しい変ぼうを背景として、新しい形態の犯罪が多発するなど犯罪情勢が変化し、また、捜査を取り巻く環境も悪化している。これに対処するため、昭和55年10月、「刑事警察強化総合対策要綱」を策定し、長期的展望に立った対策の推進に努めている。
(1) 重要知能犯罪捜査の推進
 社会の各分野において、公正を確保してほしいという国民の期待が一段と強まり、汚職や企業犯罪等の重要知能犯罪捜査の重要性がますます高まっている。このため、重要知能犯罪捜査体制の強化、組織的情報収集機能の強化を図るなど、捜査力の充実、強化に努めている。
 また、告訴、告発事件の増加に対応し、専従捜査員を増やすなど処理体制の強化を図り、迅速な事件処理に努めている。
(2) 広域捜査の推進
 近年の交通機関の著しい発達と、これに伴う生活圏の拡大等により、犯罪は広域化の傾向を示しており、効果的な広域捜査の必要性が高まっている。
 このため、凶悪事件、悪質窃盗事件等の重要事件で広域にわたるものについては、関係都道府県警察は、警察庁、管区警察局の指導、調整を受けながら、相互に情報の交換を行うとともに、必要な場合には、合同の捜査体制をとるなど効果的な広域捜査を推進している。
 また、重要事件の被疑者が他の都道府県に逃走し、又は逃走するおそれがある場合には、関係都道府県警察は協力して多数の警察官を動員し、迅速に検問、検索を行うなど広域緊急配備を効果的に推進している。

(3) 特殊事件捜査の推進
 身の代金目的誘拐事件や人質立てこもり事件においては、被害者を安全に救出しつつ、犯人を検挙することが求められており、そのため、高度な捜査手法や特殊な捜査資器材の活用が必要である。また、航空機事故、列車事故、ガス爆発、ビル火災等多数の死傷者を伴う大規模事故事件では、混乱する現場において、死傷者の搬出、証拠資料の確保、関係者の取調べ等初動捜査を迅速かつ適切に実施することが必要であり、また、発生原因の究明、刑事責任の追及には、高度の専門的知識、技術が必要である。
 このため、効果的な捜査手法の研究、実践的教養訓練による専門的知識、技術の向上、小型無線機等捜査用資器材の開発、導入、関係機関との連携の強化等に努め、特殊事件に対する有効、適切な捜査を推進している。
(4) 国際犯罪捜査の推進
ア 国内捜査の徹底
 進展する犯罪の国際化に対処するため、国外における日本人の犯罪の端緒入手や被疑者の国外逃亡事案の情報収集等を徹底する必要がある。このため、日常の捜査活動に当たっては、国際感覚をもって対処するとともに、海外に渡航する暴力団員等の動向の把握に努めている。
イ 国際的な捜査協力の推進
 国際犯罪の解明を行うには、我が国の捜査官を外国に派遣し、外国の捜査機関の協力を得ることが必要となっている。このため、我が国が捜査協力を要請された場合には、これに積極的に対応するほか、昭和56年には、国際捜査セミナー(6月)、日米暴力団対策会議(11月)等各種会議の開催、鑑識等の技術協力を通じて外国の捜査機関との良好な協力関係の確保に努めている。
ウ ICPOの活用
 我が国は、ICPO(注)の各種活動に積極的に参加しており、56年には、執行委員会(5月)、第50回総会(11月)に代表を派遣した。過去10年間に警察庁が行った国際犯罪に関する情報の発信、受信状況は、図4-22のとおり増加傾向にあり、ICPOを通じての国際的な捜査協力を積極的に進めている。
(注) ICPOは、国際犯罪に関する情報交換、犯人の逮捕と引渡しに関する円滑な協力の確保等国際的な捜査協力を迅速、的確に行う上での実務上の必要から生まれた機関であり、56年12月末現在、加盟国は133箇国に上っている。我が国は、27年に加盟して以来、警察庁を国家中央事務局として国際捜査協力活動を強化し、今日に至っている。また、50年からは、パリに置かれているICPO事務総局に、警察庁から係官を派遣している。
エ 国際捜査共助に関する国内法の整備
 55年5月、国際捜査共助法が成立し、同年10月1日から施行され、これによって、国際的な捜査協力を推進するための国内法の整備は一歩前進したが、今後の課題として、ICPOの国際逮捕手配(注)の活用に関し、相互主義の立場からの法的整備について検討する必要がある。
(注) 国際逮捕手配とは、ICPO加盟国の国家中央事務局が、直接、又はICPO事務総局を通じ、各国家中央事務局に対して、引渡請求を行う予定であることを示して逃亡犯罪人の一時的な身柄拘束を求めることができる手配制度をいう。

図4-22 国際犯罪に関する情報の発信、受信状況(昭和47~56年)

(5) 新しい形態の犯罪への適切な対応
 国際犯罪のほか、金融機関対象強盗事件、通り魔事件、コンピュータ犯罪等の新しい形態の犯罪に対して適切に対応するよう努めている。
 金融機関対象強盗事件については、金融機関との連携を一層緊密にして、事件の迅速な認知を図るとともに、緊急配備を効果的に実施するなど、初動捜査活動の強化に努めている。また、金融機関付近の挙動不審者に対する職務質問を励行し、必要な場合には、ねらわれやすい金融機関に張り込みを行うなどの方策を推進している。さらに、金融機関に対する防犯指導を徹底して、関係者の防犯意識の高揚を図るとともに、防犯カメラ等の防犯設備の充実や適切な運用について指導を強化している。
 通り魔事件については、事件発生後直ちに犯行場所に臨場して、綿密な現場捜査を行うとともに、効果的な緊急配備を実施するなど初動捜査を特に徹底し、犯人の早期検挙に努めている。また、軽微な事案であっても事後捜査を徹底するとともに、犯行現場付近の警戒を強めるなど、同一犯人による連続犯行の防止に努めている。
 コンピュータ犯罪については、内外の事例や対策等の調査、研究を通じて、捜査要領の策定、防犯対策の推進に努めているほか、法律上の諸問題の研究、専門捜査官の養成等に取り組んでいる。
(6) 科学捜査の推進
ア 指紋自動識別システムの導入

 犯行現場に遺留された指紋は犯人特定の決め手であり、犯罪捜査における指紋業務の重要性は極めて大きいが、これまでの指紋対照業務は、その大部分が手作業で行われていたため、業務のコンピュータ化による能率向上が重要な課題となっていた。このため、警察庁では昭和49年度から指紋自動識別システムの研究、開発を進めた結果、56年度には実用化の段階に達し、57年度から導入を開始することとなった。
 このシステムは、コンピュータによって大量の指紋資料を自動的かつ迅速に読み取り、記憶し、照合するもので、このシステムの導入により、犯罪検挙率の大幅な向上が期待されている。
イ 犯罪手口照会業務の拡充
 広域化、巧妙化する犯罪に対処するため、犯行の特癖を資料化し、これを利用して犯人の割り出しを行う犯罪手口業務の重要性が高まっている。そこで、犯罪手口資料をより広く収集するとともに、コンピュータシステムのより効率的な活用を図ることとしている。
ウ 現場鑑識体制の強化
 犯行現場に残された証拠資料を迅速かつ的確に採取するためには、事件発生後、直ちに鑑識専務員が犯行場所に臨場して、徹底した現場鑑識活動を行うことが重要である。そのため、新鋭資器材を登載した鑑識車と高度な技能を有する専務員とを擁する機動鑑識隊を設置し、常時臨場体制の確保に努めている。
 今後、犯罪多発地域を中心に機動鑑識隊の拡充を図り、現場鑑識体制を一層充実、強化する必要がある。
エ 鑑定業務の充実、強化
 血液、毛髪、音声、筆跡、覚せい剤等の鑑定、検査については、業務量が増加傾向にあり、また、質的にも複雑化、多様化していることから、鑑定、検査技術の一層の高度化が大きな課題となっている。このため、科学警察研究所や警察大学校での研修、一般大学での委託研修等の機会を通じて、技術職員の技能の向上に努めており、また、充実した研修を実施するため、科学警察研究所の拡充、強化について検討を進めている。さらに、微量な鑑定資料の正確な分析が可能な諸装置(ガスクロマトグラフ質量分析装置、X線マイクロアナライザー等)の整備、充実を図っている。
オ 警察犬の活用
 犬は、人間の3,000倍から1万倍のきゅう覚を有するといわれており、犬のこのような特性を生かし、警察犬として犯罪捜査に幅広く活用している。警察犬には、都道府県警察で直接飼育している直轄警察犬と、民間で飼育している嘱託警察犬とがあり、いずれも高度な訓練を重ね、その能力の向上に努めている。
 56年における警察犬の出動件数は4,096件であり、犯人の追跡や物品の選別をはじめ、遺留品、埋没死体、行方不明者、麻薬、覚せい剤の捜索等に目覚ましい活躍をしている。

(7) 優れた捜査官の育成と指揮能力の向上
 近年、取調べ、聞き込み等の捜査活動がより困難になりつつあり、また、犯罪が質的に著しく変化していることから、捜査官には、一層広範かつ専門的な知識と優れた見識が求められている。また、捜査経験豊かな捜査官が多数退職する時期を迎えており、これに代わる優秀な捜査官を育成することが急務である。このため、刑事選考制度の整備、各種教養の充実、強化等を図り、優れた捜査官の育成と指揮能力の向上に努めている。


目次