(1) 犯罪の発生は下降気味(注)
ア 全刑法犯の発生状況
昭和47年の刑法犯全体の認知件数(警察が犯罪の発生を認知した件数)は122万3,546件であるが、昭和47年5月15日本士に復
帰した沖縄の認知件数(7,194件)を除くと、121万6,352件で前年に比べ約2万8,000件、約2.2%減少している。
図3-1 刑法犯認知件数と犯罪率の推移(昭和38~47年)
図3-2 刑法犯認知件数の罪種別構成比(昭和47年)
最近10年間の刑法犯認知件数は、図3-1にみられるとおり、漸減傾向にあり、犯罪率(人口に対する犯罪認知件数の割合)は、一方で人口が増加しているため減少傾向が著しい。
昭和47年の刑法犯認知件数の各罪種別構成比は、図3-2のとおりであり、窃盗が82.3%とその大半を占め、その比率は年々上昇してきている。
(注) 犯罪には、刑法犯のほか、各種の法規に違反する特別法犯があるが、本章においては、交通事故にかかわる業務上(重)過失致死傷罪は、刑法犯から除外し、「盗犯等ノ防止及処分ニ関スル法律」、「暴力行為等処罰ニ関スル法律」、「決闘罪ニ関スル法律」、「爆発物取締罰則」、「航空機の強取等の処罰に関する法律」、「火災びんの使用等の処罰に関する法律」に違反した行為は、その性質上刑法犯に含めている。また、本章の昭和47年の統計では、明示のない限り沖縄の統計を除いてある。
イ 主な罪種の発生状況
(ア) 凶悪犯(殺人・強盗・強かん・放火をいう。)
図3-3 凶悪犯認知件数の推移(昭和38~47年)
昭和47年の凶悪犯の認知件数は、1万630件であったが、図3-3にみられるとおり、昭和40年以降減少傾向を示しており、特に強盗、強かんにその傾向が著しい。しかし、殺人については、昭和47年は前年より5%の増加を示し、これが一時的な現象かどうかが注目される。
放火が昭和45年から昭和46年にかけて急増した原因は、主として連続放火事件が急増したためである。
強かんは、戦後一貫して増加を続けていたが、昭和39年を境に一転して減少傾向を示している。これは、特に少年による強かん事件の比率が減少しているためである。
(イ) 粗暴犯(暴行・傷害・脅迫・恐喝・凶器準備集合をいう。)
粗暴犯は、図3-4にみられるとおり、昭和39年をピークに大幅な減少を示しており、特に恐喝は、昭和38年当時の3分の1近くまで減少している。粗暴犯が減少した原因としては、社会が安定して暴力に対する世論の批
図3-4 粗暴犯認知件数の推移(昭和38~47年)
判が盛り上がってきたこと、警察の暴力に対する取締りが徹底したことなどが考えられる。
昭和47年の粗暴犯の認知件数は8万8,366件であり、その4分の3は暴行及び傷害である。
(ウ) 窃盗
昭和47年の窃盗の認知件数は、100万1,209件で前年より若干減少したが、長期的には図3-5にみられるとおり、おおむね横ばい状態である。
しかし、常習性の強い侵入窃盗は、依然として高い発生件数を示し、警察が当面する課題の一つとなっている。
(エ) 知能犯(詐欺・横領・贈収賄・背任・文書偽造・通貨偽造等をいう。)
知能犯の認知件数は、図3-6にみられるとおり、全体として減少傾向にあったが、昭和47年は7万3,772件で、前年と比べ10.7%の増加をみた。これは、知能犯の4分の3を占める詐欺が11.7%増加したためである。贈収賄は、昭和46年には709件と戦後二番目の低率であったが、昭和47年には1,140件と前年に比べ大幅に増加した。
図3-5 窃盗認知件数の推移(昭和38~47年)
図3-6 知能犯認知件数の推移(昭和38~47年)
(オ) 風俗犯(と博・わいせつをいう。)
昭和47年の風俗犯の認知件数は、1万2,349件である。昭和32年から増加傾向にあったが、図3-7にみられるとおり、昭和40年以降は横ばいとなっている。
と博は、昭和47年には前年に比べ13.3%の大幅な増加をみたが、これは、と博犯の約6割を占める暴力団に対し、昭和46年以降警察が集中的に取締りを実施してきたためである。
図3-7 風俗犯認知件数の推移(昭和38~47年)
わいせつ犯は、ここ数年減少傾向にあるが、これは、強制わいせつが特に著しく減少しているためで、公然わいせつ、わいせつ物陳列・頒布等は横ばいとなっている。
ウ 特別法犯の状況
特別法犯は、図3-8のとおり、総体的には減少しているが、特別法令の形態が多種多様であり、行政的施策の変更により、年によって認知件数も異
図3-8 特別法犯送致件数の推移(昭和38~47年)
なってくるため、総数の推移によって特別法犯の傾向を分析することは妥当でない。内容をみると、社会情勢を反映して、覚せい剤、食品衛生などの薬事・衛生関係及び宅地建物などの不動産関係が増加傾向にあるのが注目される。
なお、公職選挙法違反については、本章の「7 選挙をめぐる犯罪」、その他の特別法犯については、第4章「少年の補導・保護」、第5章「生活環境の安全浄化」、第6章「交通安全と警察活動」、第7章「公安の維持」で、それぞれ詳細に解説することとし、以下本章では、刑法犯のみを対象とする。
(2) 検挙率は上昇へ
図3-9 刑法犯検挙件数及び検挙人員の推移(昭和38~47年)
ア 全刑法犯の検挙状況
検挙件数は、図3-9のとおり、昭和42年以降ほぼ横ばいを続けているが、認知件数が減少傾向にあるので、図3-10のとおり、昭和45年以降、検挙率は上昇傾向となっている。しかし、検挙人員数は年々減少傾向をたどっている。
図3-10 刑法犯検挙率及び犯罪者率の推移(昭和38~47年)
イ 主な罪種の検挙状況
(ア) 凶悪犯
凶悪犯の検挙状況は、図3-11のとおりで、検挙件数は減少傾向にあるが、検挙率はおおむね横ばい傾向である。昭和47年の凶悪犯の検挙率は
図3-11 凶悪犯検挙件数及び検挙率の推移(昭和38~47年)
図3-12 粗暴犯検挙件数及び検挙率の推移(昭和38~47年)
90.7%であり、このうち、殺人は97.5%に達している。
(イ) 粗暴犯
昭和47年の粗暴犯の検挙件数は、8万281件で、前年より7.1%減となった。
検挙率は、図3-12のように、常に90%を越えている。
(ウ) 窃盗
窃盗の検挙率、検挙件数は、図3-13にみられるとおり、昭和42年から昭和44年の時期を底として上昇に転じている。警察では、国民の期待にこたえる捜査活動を行なうために、国民から被害の届出のあった事件(既届事件)や侵入窃盗を重点的に捜査しているが、昭和47年の既届事件の検挙率は40.6%であり、また、侵入窃盗の検挙率は51.4%で、それぞれ上昇の傾向にある。
図3-13 窃盗検挙件数及び検挙率の推移(昭和38~47年)
(エ) 知能犯
知能犯の検挙件数は、その性質上、認知件数との間に差が少なく、検挙率も、通貨偽造が50%台(昭和47年は55.7%)のほかはいずれも90%以上であり、知能犯全体では92.5%となっている。検挙件数の推移は図3-
14のとおりで、昭和47年は前年と比べて大幅な増加をみている。
(オ) 風俗犯
風俗犯の検挙件数の推移は、図3-15にみられるとおりおおむね横ばいである。昭和47年の検挙件数は、1万1,849件で、前年より若干増加した。
図3-14 知能犯検挙件数の推移(昭和38~47年)
図3-15 風俗犯検挙件数の推移(昭和38~47年)
ウ 検挙の態様
図3-16にみられるとおり、逮捕と身柄不拘束の割合をみると、逮捕の
図3-16 検挙の態様別比率の推移(昭和43~47年)
割合は次第に減少の傾向にある。過去5年間について、逮捕の態様をみると、通常逮捕、緊急逮捕の比率はほぼ一定しているが、現行犯逮捕の比率はやや減少している。
現行犯逮捕の比率が減少した原因は、現行犯逮捕人員の41%から44%を占める粗暴犯が5年間で1万1,476人の大幅な減少をみたためである。
なお、逮捕人員のうち、指名手配(注)によるものは約13%を占めているが、指名手配被疑者の検挙率の上昇とあいまって、指名手配の件数は年々減少しており、昭和47年末の指名手配の件数は8,699件であった。
(注) 逮捕状の発せられている被疑者の逮捕を他の警察署又は他府県警察に依頼し、逮捕後、身柄の引渡しを要求するものを指名手配という。
エ 検挙の手がかり
検挙につながる手がかりは、図3一17のとおり、全刑法犯については聞込み、投書・申告等が多いが、窃盗では職務質問、聞込みによるものが多い。検挙の手がかりのうち、聞込み、110番通報、職務質問についてみると、図3-18にみられるとおり、7都府県は全国平均と比べて聞込みが少なく、
図3-17 本件の検挙の主な手がかりの割合(昭和47年)
図3-18 本件の検挙の主な手がかりのうち、職務質問、闇込み及び110番通報の占める比率(昭和47年)
図3-19 財産犯被害額の推移と国民所得の伸びとの比較(昭和38~47年)
図3-20 財産犯被害額に占める各罪種の比率(昭和47年)
大都市圏における聞込みが困難化していることがわかる。
オ 財産犯の被害とその回復
財産犯(強盗・窃盗・恐喝・詐欺・横領をいう。)の被害額は、図3-19
図3-21 財産犯1件当たりの被害額の推移(昭和38~47年)
にみられるとおり、年々上昇しているが、国民所得の伸びに比べて、そのカーブはゆるやかであり、犯罪による被害が国民に及ぼす影響は相対的にゆるやかになっている。
財産犯の被害は、図3-20のとおりその半数以上が窃盗によるもので、次いで詐欺が多い。
また、罪種別に1件当たりの被害額の伸びをみると、図3-21のとおりであり、恐喝の伸びが著しく、10年間で約12倍にも達しているのが注目される。被害回復率(注)は、図3-22にみられるとおり、昭和47年には24.1%(窃盗は21.7%)と若干の向上をみたが、長期的には年々低下の傾向にある。これは、被害回復率が低い現金盗が増加しているためである。
(注) 被害回復率は、検挙した事件についてのみ計上したものであり、自動車盜などで乗り捨てた車が発見されても、未検挙の場合などは計上されていない。
図3-22 検挙による財産犯の被害回復率の推移(昭和38~47年)
(3) 国際比較~日本は安全な国か~
犯罪情勢の国際的な比較については、法制上、統計上の差異もあって、正確を期し難いが、おおよその傾向を見ることによって我が国の犯罪情勢を知るための参考にすることができる。図3-23に示されるように、欧米諸国
図3-23 欧米諸国との犯罪情勢比較(昭和40~46年)
においては、近年、犯罪の発生が増加傾向にあるのに対し我が国は漸減傾向を示している。特に、アメリカにおける犯罪の増加は著しく、殺人、強盗事件が急増している。殺人の検挙率についてみても、図3-24にみられるとおり、他の諸国は90%以上であるが、アメリカは80%台と著しく低い。また、強盗、窃盗の検挙率では、図3-25にみられるとおり我が国は他の欧米諸国と格段の差を示している。これは、国民性や盗難保険制度の発達の差などにもよるが、警察の捜査力の差にも一因があるのではないかと考えられる。また、日本においては、銃砲の規制が厳しいため、殺人における銃砲の使用率が4%(昭和47年)であるのに対し、アメリカでは66.2%(昭和46年)である。このように、銃砲の規制は、犯罪の凶悪化の大きな歯止めとなっているといえよう。
日本の治安状態の良さは、犯罪が多発する大都市について比較すると、いっそう明確である。図3-26は、東京が外国の都市と比べて治安状態が良好であることを示しているが、とりわけ、凶悪犯においてその差異が目立っている。
特に強盗の発生件数については、東京では1日に1.2件であるのに対し、ニューヨークでは203件、ロンドンでは6.5件、香港では9.5件と著しい格差がある。ちなみに、ニューヨークでは、殺人発生件数は、1日当たり3.1件であり、東京の1日当たりの強盗発生件数以上の比率を示している。
日本がこのように安定した治安情勢を今後も持続できるかどうかについては、人口の流動化に伴う地域的連帯感の弱化、価値観の多様化など、従来の社会構造を変化させる要因が増大しており、今後は楽観を許さないものと考えられる。
なお、昭和47年6月、総理府が実施した「警察に関する世論調査」の結果によると、犯罪面からみた生活環境が5、6年前に比べてよくなったかどうかという間に対して、次のような回答を得ている。
| よくなっている | 14% | ぶっそうになった | 16% |
| 同じようなものだ | 53% | わからない | 17% |
図3-24 欧米諸国における殺人の検挙率、犯罪率(昭和40~46年)
図3-25 欧米諸国における強盗、窃盗の検挙率、犯罪率(昭和40~46年)
図3-26 東京、ニューヨーク、ロンドン、香港の治安情勢の比較
(1) 犯罪者の実態
ア 依然として多い青少年の犯罪
犯罪者を年齢別にみると、図3-27、28のとおりで、昭和47年は、10代及び20代の比率が全体の64.2%を占めている。これら青少年の犯罪は、やや減少のさざしをみせているが、依然として高い比率を示している。
図3-27 被疑者の年齢層別構成比の推移(昭和41~47年)
図3-28 年齢層別犯罪者率(昭和41、47年)
イ 女性犯罪者の漸増
図3-29にみられるとおり、昭和41年以降、女性犯罪者は検挙人員数、構成比ともに増加している。
罪種別に女性の占める比率をみると、図3-30のとおりであり、窃盗が23.1%で最も高く、次いで殺人、放火の順となっている。また、男女別にその罪種を分けてみると、男性は粗暴犯の比率が高いのに比べ、女性はその大半が窃盗、特に万引であることが目立っている。更に、女性犯罪者について特徴的なことは、年代による差が少ないことであり、そのため、年齢層が高くなるほど、犯罪者全体に占める女性の比率は高まっている。
図3-29 女性検挙人員の推移(昭和41~47年)
ウ 財産犯の動機は遊興のため
昭和47年の財産犯の検挙件数56万1,848件について、その動機を調べてみると、図3-31のとおり、その半数近くが「遊興のため」であり、次いで「出来心」が多い。
エ 全検挙人員の3分の1は累犯者
昭和47年に検挙した成人被疑者24万6,647人のうち、前科を有する者(注1)の比率は31.9%であり、同一包括罪種の前科を有する者(注2)(注3)の比率は17.4%である。また、逮捕歴を有する者(注4)の比率は36.4%である。図3-32にみられるとおり、逮捕歴又は前科を有する者の比率は漸増しているが、同一包括罪種の前科を有する者の比率は、昭和47年には
図3-30 主要犯罪に占める女性の比率(昭和47年)
減少をみせている。これを各罪種別にみたものが図3-33であり、凶悪犯では、放火・強かん被疑者に前科者が多いことが目立っている。粗暴犯では、暴力団員の比率が高いため、前科者の比率も高くなっている。
窃盗は、他と異なり、前科者の比率が漸減傾向にあるが、これは、衝動的な犯行である万引や自転車盗が増えているためである。
また、侵入窃盗のように常習性の強い手口の認知件数が増加しているにもかかわらず、窃盗の前科を有するいわゆる常習窃盗犯罪者の検挙数は減少している。
知能犯のうち、前科者の比率が高いのは詐欺で、昭和47年は41.8%であったが、その2分の1は同じ知能犯の前科を有しており、常習性の強い犯罪であることがうかがえる。
(注1) この項における前科者とは、道路交通法違反以外の罪を犯して刑に処せられたことのある者をいう。
(注2) 包括罪種とは、刑法犯を凶悪犯、粗暴犯、窃盗、知能犯、風俗犯、その他に分類したものをいう。
凶悪犯…殺人、強盗、放火、強かん
粗暴犯…凶器準備集合、暴行、傷害、恐喝
窃盗…窃盗
知能犯…詐欺、横領、偽造、贈収賄、背任
風俗犯…と博、わいせつ
(注3) 同一包括罪種の前科を有している者とは、例えば殺人の被疑者が強盗の前科を有している、というような例である。
(注4) 逮捕歴を有する者とは、警察において身柄を拘束されたことがある者をいい、刑法犯・特別法犯を問わない。
図3-31 財産犯の動機(昭和47年)
図3-32 刑法犯被疑者中に占める逮捕歴・前科を有する者の比率(成人)(昭和43~47年)
図3-33 罪種別前科者比率の推移(成人)(昭和43~47年)
図3-34 都道府県別にみた刑法犯の犯罪率(昭和47年)
図3-35 都道府県別にみた刑法犯認知件数の推移(昭和43年対47年)
(2) 犯罪の地域的傾向~犯罪は地方都市へ分散~
ア 犯罪の地方分散傾向
最近の都市化現象の拡大に伴い、各地域の様相は著しい変ぼうをとげている。図3-34は、昭和47年の刑法犯の犯罪率を各県別に比較したものであるが、東京・北海道を除くと、犯罪率の高い府県が近畿・中国・四国地方に集中し、過疎化現象の著しい東北・北陸・九州地方は犯罪率の低いのが注目される。しかし、犯罪の増減傾向を分析してみると、図3-35に示されるように、東京・大阪の周辺県及び日本海側の数県に急速な犯罪の増加傾向が生じていることがわかる。
しかし、都道府県別にみた場合には、犯罪の増減と人口の増減の相関関係は、後述する都市における関係ほど明確ではない。
都道府県別に犯罪の構成比を分析してみると、図3-36にみられるとおり、犯罪率が低い県では窃盗の比率が低いのに対し、都市化現象により人口及び犯罪の増加の著しい埼玉、千葉、滋賀、奈良の4県においては窃盗が88%と非常に高い比率を示している。また、前述した犯罪増加の著しい県に
図3-36 都道府県の犯罪構成比(昭和47年)
図3-37 面識のない者による凶悪犯・粗暴犯の犯罪率(昭和47年)
おいても、粗暴犯・知能犯は減少傾向を示しており、窃盗のみが大幅な増加をみせていることが特徴的である。このように、犯罪の増加が窃盗の増加によるものであること、大都市地域における窃盗の比率が全国平均の82.3%とほぼ変わらないことは注目される。
また、大都道府県においては、図3-37にみられるとおり、顔見知りでない者に危害を加えられる比率が愛知県を除き非常に高い。
イ 地方中核都市の犯罪増加
アの項において都道府県別にとらえた犯罪の傾向を、昭和45年の国勢調査に基づき、都市の単位で更に分析してみることとする。
都市を図3-38のように分類してみると、その犯罪率では、人口50万人以上の大都市と、人口10ないし50万人の中規模都市及び人口10万人未満の市町村の3グループに分かれ、人口50万人以上の大都市において犯罪率が高いことがうかがえる。
一方、これらの都市のグループについて犯罪の変動をみると、図3-39のとおり、人口50万人以上の大都市と人口10万人未満の市町村での犯罪の減少が目立っている。これに対し、人口10ないし20万人、人口20ないし30万人の地方中核都市に人口及び犯罪の増加がみられ、この現象は、特に、このグループに属する首都圏と近畿圏の衛星都市において著しい。
このことは、人口の移動に伴って
図3-38 人口別にみた都市の犯罪率(昭和45年)
図3-39 都市別にみた犯罪・人口の増減(昭和40年対45年)
○犯罪が大都市中心部からその周辺部の地方都市へ分散する傾向
○農漁村など郡部において犯罪が減少する傾向
が生じていることを示している。
ウ 人口の急激な増減と犯罪との関係
次に、人口増減の激しい市と区について分析してみる。
昭和45年の人口が5年前の昭和40年と比較して20%以上増加した市・区(東京都特別区及び指定都市における区)は14区98市にのぼり、その大半は首都圏、中京圏、近畿圏にある。一方、人口が同じ5年間に10%以上減少したところは21区28市であるが、そのうちでも、区部はなお昼間人口が多いので、その犯罪傾向の差異を見るため、区部と市部とを区分して分析した。
図3-40に示されるとおり、人口増加の激しい市・区においては、犯罪件数の増加が顕著であるが、犯罪率が上昇するまでには至っていない。これに対し、人口減少の激しい市においては、人口の減少より早いテンポで犯罪の過疎化ともいえるような現象がみられる。一方、人口減少の激しい区部においては、昼間人口が多いため犯罪の減少幅は比較的小さくなっている。
図3-40 人口増減の激しい市・区における犯罪の増減(昭和40年対45年)
エ 昼・夜間の人口変動と犯罪との関係
通勤圏の拡大に伴う大都市中心部の夜間人口の減少及び郊外のベッドタウン化が、犯罪の態様にどのような影響を与えているかを分析してみると、図3-41のとおり、昼間人口の多い大都市中心部(注1)は、盛り場、ビジネス街を含んでいるので、粗暴犯・知能犯が多く、また、夜間人口の多い地域(注2)では、窃盗が圧倒的に多いことがわかる。
(注1) 昼間人口の多い区とは、昼間人口が夜間人口より20%以上多い、東京都、横浜市、京都市、大阪市、神戸市の各中心区21区である。
(注2) 夜間人口の多い市(区)とは、首都圏、近畿圏内で、夜間人口が昼間人口より20%以上多い奈良市など28市(区)である。
(3) 犯罪は広域化
ア 犯罪者の行動範囲の拡大
図3-41 昼・夜間人口の差による包括罪種別刑法犯認知件数の構成比(昭和47年)
交通機関の急速な発展に伴って、犯罪者の行動範囲も拡大し、従来の都道府県単位の捜査はしだいに困難となり、各都道府県警察間の捜査協力の必要性が高まっている。
表3-1は、成人被疑者のうち、その居住都道府県と犯行都道府県とが異なる者の比率を示したものであるが、この比率は次第に上昇していることがわかる。これを都道府県別に、犯罪者の流入・流出という観点からみたもの
表3-1 居住都道府県と犯行都道府県が異なる犯罪の比率(昭和41~45年)
図3-42 他府県から流入する犯罪者の検挙人員に占める比率(昭和47年)
図3-43 県内に居住する犯罪者(検挙された者)のうち、他県で犯行をした者の比率(昭和47年)
表3-2 財産犯の犯行地と被害品の発見地との関係(昭和46年)
が図3-42、43であるが、佐賀県を除き、犯罪者の流入・流出が激しい府県は、関東、近畿の都市圏に集中している。特に、犯罪増加の著しい埼玉、千葉、滋賀、奈良などの大都市周辺県は犯罪者の流入・流出ともに激しく、なかでも、埼玉、千葉の両県は、流入の比率が20%を越えている。また、昭和46年に調査した財産犯の被害品の流動状況は、表3-2のとおりであるが、大都市周辺県では被害品の半数近くがその地域の中心となる大都市府県に流入しており、特に奈良県ではその68%が大阪府に流れているなど、関東、近畿が交通機関の発達により一つの犯罪圏域を形成していることかうかがわれる。また、犯罪者行動範囲の拡大に伴い、犯罪者が県外に逃走する例も増加しており、図3-44にみられるとおり、犯罪発生県と検挙県の異なる事案が増えている。
犯罪の広域化の傾向が最も著しいのは、常習者による侵入盗犯であり、図3-45にみられるとおり、多数の都道府県で犯行を重ねている者の割合が増加している。この図は人員比であるが、犯行件数での比率ははるかに高くなるものと考えられ、多数の都道府県をわたり歩いて犯行を重ねる常習窃
図3-44 犯罪発生県と検挙県とが異なる場合の比率の推移(昭和43~47年)
盗犯罪者に対する対策が重要な問題となっていることを示している。
〔事例1〕 警察庁登録第1号事件(注)
被疑者はキャンピングカーに乗って1道16県をわたり歩き、179件(被害額1,455万円)の窃盗を敢行していたが、この間、無線機を車に積んで警察の動きをマークするなど、非常に巧妙な犯行を重ねていた(京都)。
(注) 警察庁登録事件とは、広域にわたる悪質重要な窃盗事件について警察庁に登
図3-45 侵入窃盗の犯行府県数別検挙人員(成人)比率の推移(昭和43~47年)
図3-46 主要罪種別自動車利用事件の比率(昭和47年)
録し、その指導のもとに組織的な広域捜査を行なうもので、昭和47年は、4件登録され、2件が検挙された。
イ 自動車利用の犯罪
最近の急速なモータリゼーションの進展は、犯罪にも著しい影響を及ぼしてきている。図3-46は、主な罪種における自動車の利用状況を示したものであるが、強盗、強かんにおける利用率が高く、特に強かんは半数近くが車を利用している。
侵入窃盗は、図3-47に示されるように、近年、自動車を利用する率が増加しており、侵入窃盗全体の5分の1にまで達した。しかし、盗んだ車で犯罪を行なう割合は、自動車が一般に普及したためか、最近は減少傾向にある。また、図3-48にみられるとおり、侵入窃盗の主な犯罪手口のうち、
図3-47 強盗、侵入窃盗における自動車利用事件の比率(昭和41~47年)
図3-48 侵入窃盗の主要手口別自動車利用事件の比率(昭和47年)
「倉庫破り」、「工事場荒し」などのように、盗品が多量になる場合には、自動車を利用する率が高い。「金庫破り」においても、最近は、盗んだ自動車でいったん金庫を運び出してから人目につかない場所でこれを解体するなど、巧妙な自動車の利用形態が目立っており、今後とも増加することが予想される。
(4) 各種犯罪の傾向
ア 凶悪事件
(ア) 殺人事件の増加
殺人事件の認知件数は、昭和47年は2,038件(前年比5%増)であったが、その内容は、表3-3にみられるとおり、犯行後事件の発覚を防ぐため、死体をバラバラにしたり、土中に隠ぺいしたり、あるいは自動車を利用
表3-3 死体隠ぺい事件の件数(昭和44~47年)
して遠方に捨てたりするなど、次第に残酷・悪質になりつつある。
尊属殺人は、図3-49にみられるとおり、昭和47年は99件(前年比39%増)と大幅に増加した。また、女性が被害をうけて死亡する事件も、図3-50のとおり、大幅に増加し、特に殺人事件では493人(前年比18%増)に達する状況であった。女性被害者とその被疑者との関係は、3分の2が夫婦・兄弟姉妹などで、近親者間における殺人が増加しているといえる。
〔事例1〕 交通事故を偽装した実子殺害事件
昭和47年8月、板金塗装業者が金に困って、小学生の長女に保険金をかけ、300万円で殺し屋2名を雇い、買物に連れ出した長女を自動車ではねて殺害し、交通事故死を偽装した(青森)。
〔事例2〕 西宮市のバラバラ殺人事件
昭和47年6月、別居中の夫に虐待されていた妻が、同僚のホステスと
図3-49 尊属殺人の認知件数の推移(昭和38~47年)
図3-50 殺人、強盗、傷害による死者数の推移(昭和43~47年)
共謀して、夫に睡眠薬を飲ませて、これを殴殺した上、包丁で死体をバラバラにし、ビニール袋に包んで肥だめ等に遺棄した(兵庫)。
(イ) 連続放火事件の多発
連続放火事件は、昭和45年、昭和46年に急増したが、昭和47年においても46事案(252件)と、依然高い発生を示している。
検挙した事案について犯人の動機をみると、家庭不和や興味に基づくものが多いが、最近の傾向として、広域的な窃盗犯人が証拠隠滅のために放火する事案が目立ってきている。
〔事例〕 1道2府にまたがる連続窃盗放火事件
窃盗常習犯罪者が、大阪、京都、北海道で窃盗を重ね、昭和46年1月から、昭和47年4月に大阪で逮捕されるまでの間、合計70件の放火をはたらいていた(大阪)。
イ 窃盗
(ア) 事務所荒しの増加
侵入窃盗は、昭和43年以降漸増傾向であったが、昭和47年は35万6,428件で、前年に比べ6,003件(1.7%)の減少をみた。これを手口別にみると、「事務所荒し」(前年比1.6%増)、「出店荒し」(前年比27.5%増)は増加傾向にあるが、これは、市街地において、夜間、現金をおいたまま無人となる事務所や店舗が増加しているためと考えられる。また、最近大幅な減少傾向にあった「金庫破り」が、昭和47年は2,548件(前年比12%増)と急激な増加を示した。
図3-51 主要侵入窃盗認知件数の推移(昭和43~47年)
一方では、図3-51にみられるとおり、「あき巣ねらい」、「忍込み」、「居あき」など、一般の住宅をねらう手口は減少傾向にある。特に、「忍込み」、「居あき」などのように家人の在宅中をねらう手口は、近年減少傾向を示しており、昭和47年にはいずれも昭和43年の認知件数に比べて20%前後の減少となっている。
また、侵入窃盗の犯行手口では、電気ドリルや管内検査器などを利用して、金庫内の現金の有無を確かめてから金庫を破壊するなど、高度な技術を有するものが目立っている。
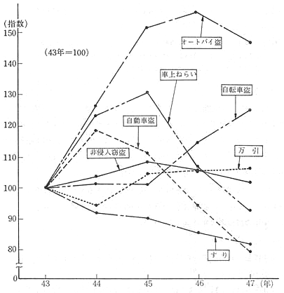
(イ) 自動車盗の急減
非侵入窃盗(乗物盗を含む。)は、昭和47年には64万4,781件で、前年に比べ1万8,882件(2.8%)の減少をみた。「自動車盗」は、昭和44年まで大幅な増加傾向を続けてきたが、昭和45年を境に急速に減少しつつある。
また、「車上ねらい」(注)は、昭和46年に「部品盗」の手口をこれから分離したため、統計上は急速な減少を示している。従来、自動車台数の増加に比例して増加していた自動車に関連する窃盗が、ここ数年減少傾向に転じていることは注目されるが、これは、ハンドルロックなど自動車の被害防止機能が改良されたこと等によるものと考えられる。
「オートバイ盗」は昭和43年までは漸減傾向にあったが、昭和44年から急速な増加傾向を示している。
また、「自転車盗」は前年比10%増と大幅な上昇をみせているが、これは、最近、自転車の保有台数が急増しているためと考えられる。
昭和47年の乗物盗の検挙人員中に占める少年の割合をみると、図3-52
図3-52 窃盗の主要手口別にみた少年の検挙人員に占める比率(昭和47年)
のとおり、「自動車盗」が48.7%、「自転車盗」が43.7%であるのに対し、「オートバイ盗」は91.7%で、しかもそのうち、16歳以下が87.8%を占めており、ティーンエージャーのスピードとスリルにあこがれる傾向の強さがうかがえる。
(注) 「車上ねらい」とは、自動車等の中に置かれている金品を盗む手口であり、「部品盗」とは、自動車等に取り付けてある部品、付属品を盗む手口で、昭和46年に「車上ねらい」から分離された。
(ウ) 万引とすり
「万引」は、昭和39年から44年まで減少傾向であったが、昭和45年から再び上昇傾向に転じている。これは、近年スーパーマーケット方式の売場が増加しているためと考えられるが、「万引」は他の手口と比べて暗数率が高く、実際の増減傾向を正確には握することがむずかしい。被疑者は、女性が60%を占めており、未成年女子の増加が目立っている。
「すり」は、図3-53のとおり、減少傾向にあるが、窃盗の手口の中でも最も常習性が強く、犯罪者も30歳から60歳の中高年齢層が中心となっており、少年の被疑者は年々減少している。
(エ) その他の傾向
窃盗に見られるその他の傾向では、現金のみをねらう窃盗が増加していることがあげられる。
図3-54に示されるように、現金の被害が年々増加しており、昭和47年は約115億円で被害総額に占める割合も26.5%にまで達した。これは、窃盗の動機として遊興費欲しさのものが増加していること、現金だと証拠が残らないこと、などの原因によるものと考えられる。
また、最近の経済情勢や絵画・古美術ブームなどを反映して、刀剣や絵画などの重要美術品の盗難事件や株券目的の窃盗事件が目立っており、新しい傾向として注目される。
〔事例1〕 明治神宮宝物殿刀剣盗難事件
昭和47年7月、明治神宮宝物殿から、重要文化財に指定されている太
図3-53 主要非侵入窃盗認知件数の推移(昭和43~47年)
刀など刀剣4点(時価5,500万円相当)が盗まれた(警視庁)。
〔事例2〕 梅原龍三郎画伯作の絵画盗難事件
昭和47年5月、銀座の画廊から、梅原龍三郎画伯作の「北京秋天」など、絵画4点(時価5,400万円相当)が盗まれた(警視庁)。
〔事例3〕 名古屋駅構内における多額証券荷抜き事件
昭和47年10月、国鉄名古屋駅構内小荷物取扱所において、小荷物に入れてあった株券、割引債券など有価証券(時価7,862万円相当)が盗まれた(愛知)。
図3-54 主要被害品目別にみた窃盗の認知件数の推移(昭和43~47年)
更に、窃盗の発生する時間帯について、その傾向をみると、図3-55に示されるように、午前2時から4時と午後2時から4時の時間帯の発生が多い。
ウ 知能犯
(ア) 詐欺などの知能犯
詐欺、横領、背任、偽造等の知能犯(贈収賄を除くいわゆる一般知能犯)の検挙は、図3-56のとおり、逐年減少傾向にあったが、昭和47年は前年に比べ、7,407件(12.2%)の増加をみた。これは、主として詐欺の6,281件(13.6%)増によるものである。
知能犯の検挙件数が逐年減少傾向にあったのは、犯罪発生自体の減少も考えられるが、都市化の進展に伴う社会構造の複雑化等により聞込等の情報収集活動が次第に困難になり、潜在的な知能犯を認知しにくくなったことにも
図3-55 窃盗の時間帯別発生状況(昭和47年)
よると考えられる。
知能犯検挙件数全体の7割以上を占める詐欺のなかでは、地面師(注)による詐欺、取込み詐欺などが増加の傾向にある。
これは、最近の宅地需要の増大等による土地開発ブーム、経済の高度成長に伴う商取引の活発化により、これに関連した犯罪が増加したためと考えられる。
(注) 地面師とは、土地の売りつけ、貸しつけ、担保提供等を口実として、金品をだましとる手口を有するものをいう。
図3-56 知能犯の罪種別検挙件数・人員の推移(昭和43~47年)
〔事例1〕 地面師らによる土地売買手付金名下の詐欺事件
不動産会社社長と不動産ブローカーら6名が共謀し、低価値の土地を直ちに高額で他に転売できるかの如く装い、土地需要者4名から手付金名下に2億1,450万円を詐取した(徳島)。
〔事例2〕 架空会社による住宅設備機器等の取込み詐欺事件
取込み詐欺常習者ら11名が架空会社を設立し、中部、近畿、中国、四国にわたって、電気機器業者等から住宅設備機器等7億2,510万円を詐取した(静岡)。
詐欺についで検挙件数の多い横領には、単純横領、業務上横領、占有離脱物横領等の態様があるが、ここ数年間、認知件数、検挙件数ともにおおむね横ばいの状況にある。
〔事例〕 共済組合支部の経理係員による業務上横領事件
競馬にこった組合の主事が、資金ねん出のため、自己の地位を利用して、組合の預金10億円を勝手に払い戻して横領した(北海道)。
知能犯罪による被害額の推移をみると、図3-57のとおりであるが、昭和47年は、詐欺が269億5,000万円で前年に比べ82億7,000万円の増加、横領が100億5,000万円で前年に比べ23億5,000万円の増加となっている。これを1件当たりの被害額でみると、図3-58のとおり、詐欺が46万円で10万円の増加、横領が108万円で11万円の増加となっているが、これは、国民所得の向上もさることながら、犯罪そのものが大型化していることを示しているものといえる。
図3-57 詐欺、横領の被害額、被害回復額の推移(昭和43~47年)
図3-58 詐欺、横領の1件当たり被害額の推移(昭和43~47年)
〔事例〕 会社営業所次長らによる業務上横領・背任事件
会社の東京営業所次長が、所長から業務全般について任されていることを奇貨とし、取引先の会社社長と共謀して、勝手に小切手を振り出して会社に損害を与えたほか、売掛金、銀行預金等約34億4,000万円を横領した(大阪)。
(イ) 贈収賄
贈収賄(公務員等に対しその職務に関し金品等の供与あるいは申し込みをなし、公務員等がこれを収受・約束する犯罪)の検挙は、昭和46年までは図3-59のとおり、逐年減少の傾向がみられる。その原因は、前述の詐欺などのいわゆる一般知能犯と同様の理由によるものと思われる。
昭和47年は、前年に比べ、検挙件数で432件、検挙人員で483人の増加となっているが、これは、地方公務員による事犯が大幅に増加したことに起因している。
収賄公務員について、国家公務員又は地方公務員別の推移をみると図3-60のとおりで、逐年国家公務員が減少し、反面、地方公務員の占める比率が高くなってきている。こうした現象は、最近における地域開発に伴う各種行
図3-59 贈収賄検挙件数及び検挙人員の推移(昭和43~47年)
図3-60 収賄被疑者の身分別構成比の推移(昭和43~47年)
政事務の増加により、地方公共団体の議会の議決・審議及び土木・建築工事等に関する担当公務員の権限や裁量事項が増大したことによるものと考えられる。
収賄公務員を職務別にみると、地方公共団体の土木・建築関係職員、地方公共団体の議会の議員が多い。また、地方公共団体の長が検挙された事件も数件あったことは注目される。
〔事例1〕 町長らの校舎新築工事汚職
町長らが、中学校校舎新築工事等の入札、契約等に関し、工事請負業者から5,359万円の賄賂を収受した(熊本)。
〔事例2〕 市議会議長らの金融機関指定汚職
市議会議長らが、信用金庫を指定金融機関にする議案の審議・議決に関し、同信用金庫理事等から631万円余の賄賂を収受した(岐阜)。
また、検挙された贈収賄事件を態様別にみると、図3-61のとおりで、各種土木・建築工事をめぐるものが、全体の40.2%を占めている。
図3-61 贈収賄事件の態様(昭和47年)
贈収賄により公務員等が収受した金品の額は、図3-62のとおりである。賄賂額も最近の諸物価の高騰を反映して、年々高額化し、1回の収受額が1,000万円にのぼるものがみられたほか、自動車の収受、家屋の新築、生活費一切の収受など、収賄者1人当たりの収賄額も多額化の傾向にある。
収賄公務員を年齢別にみると、図3-63のとおり、35歳以上の中高年齢層が全体の81.0%を占めている。これは、公務員が在職年限に比例して、地位及び権限、裁量事項が増大し、これらの職務関係をめぐって、贈収賄が
図3-62 贈収賄事件における賄賂額(昭和43~47年)
図3-63 収賄公務員の年齢(昭和47年)
行なわれたことを物語るものといえる。
(ウ) 通貨偽造
昭和43年から昭和47年までに発見された偽造通貨の状況は、表3-4のとおりであり、偽造手段についてみると、表3-5のとおりである。
過去5年間における偽造通貨の主要発見場所は表3-6のとおりであるが、最近の自動販売機の普及によって、偽造硬貨を各種の自動販売機に投入して、使用する事例が著しく増えてきていることが注目される。
最近5年間における偽造通貨の発見枚数及び解決枚数は図3-64のとおりである。
表3-4 偽造通貨の発見枚数(昭和43~47年)
表3-5 偽造通貨の偽造手段(昭和43~47年)
表3-6 偽造通貨の主要発見場所(昭和43~47年)
〔事例1〕 はり合わせ偽造1万円券行使事件
機械工員が1万円札10枚をこまぎれにし、これをはり合わせて作成した偽造券12枚を行使した(神奈川)。
〔事例2〕 鋳造100円硬貨偽造行使事件
元鋳造工場工員が、鋳造による100円硬貨を偽造し、これを鉄道乗車券自動販売機などに128枚行使した(警視庁)。
(エ) 外国通貨偽造
昭和47年中に発見された偽造外国通貨は、アメリカドルが254枚で、昭和46年の125枚に比較すると倍増している。
これは、最近の観光旅行ブームを反映して日本人、外国人の持込みが増加したことによる。
このように偽造外国通貨が増えているのに対し、検挙状況は件数3件、人員7人と低調であった。
図3-64 偽造通貨の発見枚数及び解決枚数(昭和43~47年)
表3-7 偽造外国通貨の発見枚数(昭和43~47年)
これは、日本人が外国で両替して持ち帰ったり、あるいは、外国人が日本の商店等で行使した後、銀行に持ち込まれて初めて偽造紙幣であることが判明し、警察に届け出たときには、行使者が国外に立ち去った後である場合が多いためと考えられる。
過去5年間の偽造外国通貨の発見枚数は、表3-7のとおりである。
〔事例1〕 偽造ドル紙幣行使による詐欺事件
中国人船員が偽造100ドル紙幣1枚を真正なもののように装って、電気製品の代金支払名下に日本円とともに行使し、テープレコーダー1台を詐取した(神奈川)。
〔事例2〕 偽造ドル輸入行使事件
日本人5人が香港の偽造ドル紙幣売りさばき人から偽造20ドル紙幣260枚を輸入し、行使したが、うち61枚を発見(沖縄)。
エ 特殊犯
都市化の進展、社会活動の活発化などに伴い、最近、爆発事故、列車事故、航空機墜落事故、火災事件などのように多数の死傷者を伴う大規模事故事件や銃砲、爆発物を使用した人質、誘かい事件などの発生が目立ってい
る。
このように、一般的な捜査体制や捜査技術では対処しがたい特殊な犯罪形態を特殊犯といい、警察では高度な科学的、専門的技術を身につけた捜査員を中心としてこれに対処している。
昭和47年の特殊犯の主な傾向をみると次のとおりである。
(ア) 爆破予告事件
爆破予告事件は模倣性が強く、その対象は表3-8のとおり、鉄道、航空機など交通機関に対するものが77件と最も多い。また、その手段では、証拠が残らず簡単に実行にうつせる電話によるものが大部分である。
検挙した被疑者36人について分析すると、表3-9のように単純な動機によるものが多く、少年が40%を占めている。
〔事例〕 全日空機に対する爆破予告、恐喝未遂事件
昭和47年7月、中学生が全日空千歳空港支所に、「東京12時45分発61便に爆弾をしかけた。1,000万円持ってこないと爆破する。」と電話で爆破予告をした(北海道)。
表3-8 爆破及び爆破予告事件発生件数の推移(昭和43~47年)
表3-9 爆破予告事件被疑者の犯行動機(昭和47年)
(イ) 爆破事件
爆破事件は、過激派学生によると思われるものを除くと、昭和47年はわずかながら増加している。
〔事例1〕 仙台市営バス爆破事件
昭和47年5月、仙台市営の市内循環バスが、東北大学農学部前で停車しようとしたとき、突然中央部右側座席に置かれていた荷物が爆発し、乗客39名が負傷した(宮城)。
〔事例2〕 近鉄電車爆破事件
昭和47年8月、近鉄奈良線難波行電車(4両編成)が進行中に、突然3両目右側後部ドア付近に置かれていたボストンバッグが爆発し、乗客26名が負傷した(奈良)。
(ウ) 人質事件
人質事件は、表3-10のとおり、昭和47年もかなりの発生をみた。
〔事例1〕 三菱信託銀行本店における人質事件
昭和47年1月、三菱信託銀行本店2階手洗所に侵入した無職の男が、事業資金を得るため、出刃包丁で女子行員2名を脅迫して人質にとり、現金2,000万円を要求した(警視庁)。
〔事例2〕 日航機ハイジャック事件
昭和47年11月、羽田発福岡行日航機351便に乗客として乗り込んだ男が、事業資金を得るため、けん銃・手製爆弾を乗務員につきつけて脅迫し、乗客等127名を人質としてキューバ行の代替機と現金200万ドルを要求した(警視庁)。
表3-10 人質事件発生件数の推移(昭和43~47年)
(エ) 大規模事故事件 大規模事故事件は近年多発傾向にあり、昭和47年中に発生した主なもの
は、次のとおりであった。
○3月28日国鉄総武線船橋駅構内における電車追突事件(負傷者608人)
○5月13日大阪千日デパートビル火災事件(死者118人、負傷者15人)
○6月23日国鉄京浜東北線日暮里駅構内における電車追突事故(負傷者143人)
○11月2日北海道石狩炭坑内における作業員生き埋め事故(死者31人)
○11月6日北陸トンネル内急行列車火災事件(死者30人、負傷者710人)
航空機事故についてみると、昭和47年は、6月のニューデリー空港における日航機墜落事故(死者86名、負傷者3名)、11月のモスクワのシェレネチェボ空港における日航機墜落事故(死者61名、負傷者15名、その後重傷者1名死亡)など、国外で大規模な事故が発生した。国内では、5月の羽田空港における日航機暴走事故(負傷者16名)、同月の北海道における横浜航空セスナ機墜落事故(死者10名)があげられる。
(1) 早期検挙をめざして
ア 捜査の長期化
本章「2 社会の変化と犯罪の傾向」において述べたような犯罪の新しい傾向にもかかわらず、刑法犯全体の検挙率は57.3%、凶悪犯については
表3-11 捜査本部設置・解散件数(昭和41~47年)
図3-65 凶悪犯の発生から検挙までの期間別検挙比率(昭和43、45、47年)
図3-66 侵入窃盗(本件)の発生から検挙までの期間別検挙比率(昭和43、47年)
90.7%となっている。
しかし、その内容をみると、必ずしも楽観を許さない状況にある。
警察では、重大事件に対しては表3-11のとおり、捜査本部を設置して、犯人の割出し、検挙にその総力を注いでいるが、国民に重大な危害と不安を与える凶悪犯、侵入窃盗についてみると、図3-65、66に示されるように、ここ1、2年、捜査の長期化の傾向が著しい。このため、犯罪認知件数の横ばいにもかかわらず、捜査に従事する警察官の負担は増加する傾向にある。
この傾向をもたらした原因は、犯罪そのものが質的に変化していることと、前述したような聞込みなどによる一般からの情報が減少していることとにあると考えられる。このような傾向に対処するためには、犯罪の発生後できるだけ早い時期に警察がこれを認知して、効果的な初動捜査を行ない、散逸し
やすい証拠を収集するなど、早期に犯人を検挙することが最善の方策である。
そこで、当面検討を進めているのが、110番の集中運用(第2章「国民生活と日常警察活動」2参照)、機動捜査隊の拡充強化及び常設検問所の設置を含む緊急配備体制の整備である。
イ 機動捜査隊の活動
機動捜査隊は、機動力、通信力を効果的に活用して、主として初動捜査を担当する捜査組織である。無線付きの覆面パトカーによって警ら活動を行なうなど、事件発生に備えて常時警戒体制をとっており、携帯用無線機、小型録音機、ポラロイドカメラ、凶器捜検器等の捜査用装備資器材を駆使し、近代的な捜査活動を展開するところに特色がある。
機動捜査隊は、昭和34年、警視庁刑事部に機動捜査班として発足したのが始まりで、その後昭和40年には更に神奈川、愛知、京都、大阪、兵庫、福
図3-67 機動捜査隊(警視庁)の時間帯別出動状況(昭和47年)
岡にも設置され、それぞれ都市部において警察力の手薄な夜間を重点とした活動を行なっている。図3-67、68は、警視庁機動捜査隊の活動状況であるが、夜間における出動回数が多く、その対象も半数近くが凶悪犯と粗暴犯であることがわかる。
このように、機動捜査隊が設置の目的にそって多くの成果をあげているところから、その拡充強化について検討が加えられている。
図3-68 機動捜査隊(警視庁)の出動対象(昭和47年)
〔事例〕 自動車利用のひったくり事件が多発しているため、機動捜査隊が中心となって被害発生予想区域を重点的に警戒中、昭和47年6月16日午前0時5分に同様手口の事件が発生したため、直ちに犯行に使用した車両を手配し、捜査をしたところ、機動捜査隊員が15分後に容疑車両を発見して被疑者を検挙した(警視庁)。
ウ 緊急配備と常設検問所
緊急配備は、殺人、強盗、ひき逃げ等の重要事件が発生し、犯人がまだ逃走して間がないと判断される場合に、検問、張込を行ない犯人を早期に検挙する捜査方法である。
緊急配備は図3-69のとおり、都道府県警察単位で年間約9,000件が実施されている。
緊急配備の種別には、事件が発生した警察署管内のみで実施される発生署配備のほか、周辺の数署にも実施される隣接署(ブロック)配備、都道府県内全署にわたる全県(全署)配備、更に重要事件の場合に隣県にも依頼して行なう広域配備などがある。これらのうちでも、広域配備は、他の配備が横ばいであるのに比べ、年々増加の傾向にある。このため、通信指令室内に、隣
図3-69 配備種別による緊急配備実施件数(昭和47年)
県の通信内容が即座には握できるようモニター装置を設置したり、管区警察局の指導調整のもとに各都道府県相互に緊急配備協定を結び、合同で緊急配備訓練を行なうなど、犯罪の広域化への対策が整備されつつある。
緊急配備の方法は、自動車利用の犯罪が多いため自動車検問が中心となるが、これを補助するため、無線タクシー業者、ガソリンスタンド業者等民間の自動車関連業者に協力を依頼することも多く、犯人検挙に大きな効果をあげている。しかし、事件の発生から緊急配備体制の完了までには、発生→認知(届出)→緊急配備の発令→警察官の配置→初動捜査活動という手順をふまなければならず、その上、事件の発生は深夜に集中し、迅速な警察官の配置が困難なため、時間的にかなりのロスが生じているのが現状である。このため逃走に自動車を利用する犯罪者等の捕捉が困難となり、警察庁では、常設検問所の設置を検討している。
〔事例〕
昭和47年2月17日午後8時ころ、神奈川県相模原市内の菓子販売をし
ている女性が客に刺され、重傷を負った。神奈川県警察本部で、相模原署及び隣接各署に対して緊急配備を発令して厳重警戒中、事件発生55分後に、パトカー乗務員が現場から2キロ離れた路上を急ぎ足で歩いている手配によく似た男を発見、職務質問したところ、犯行を自供したので殺人未遂罪で緊急逮捕した(神奈川)。
(2) 公開捜査~“この顔にピンときたら110番”~
指名手配されている被疑者のうちでも特に悪質で、再び犯行を繰り返すおそれのある者に対しては、捜査資料を提供して積極的に国民の協力を求める公開捜査の方法がとられている。警察では毎年「指名手配被疑者捜査強化月間」を設け、指名手配被疑者の検挙に努めているが、昭和47年の月間では、期間中に2,315名を検挙した。特に悪質な被疑者219名については、警察庁及び各都道府県警察本部で指定して、公開捜査を行ない、59名を検挙した。
その検挙の手がかりをみると、図3-70のとおりで、指定被疑者の場合は、公開捜査により国民から多大の協力が得られたことがうかがわれる。
公開捜査では、新聞などの報道関係機関に協力を依頼するほか、ポスター、チラシを、警察施設、商店、アパート、公衆浴場、理髪店あるいは街頭の特設掲示板に掲示又は配布する方法がとられるが、昭和47年は特にテレビのスポット放送の利用によって効果をあげた。
警察庁では、月間中民間テレビ会社を通じてテレビスポット放送を行なっ
図3-70 指名手配被疑者の検挙の端緒別(昭和47年2月指名手配被疑者捜査強化月間中)

図3-71 最近1年ぐらいの間に指名手配犯人について何を通じて知ったか(昭和47年3月)
たほか、テレビワイドショー番組の協力を得て、いわゆる「お茶の間手配」を行なった。
また、各都道府県においても、テレビ、ラジオを通じて、主に自都道府県の指定被疑者に対して、公開捜査を行なったが、府県によっては、映画館で指定被疑者のスライドを上映したところもあった。
このような公開捜査の効果について、昭和47年3月上旬、警察庁が行なった実態調査の結果は、図3-71、72のとおりであり、ポスターとテレビによるものが効果をあげていることが示されている。
〔事例〕 幼女誘かい殺人事件被疑者の特別手配
昭和47年9月、清水市で2歳の幼女が誘かいされて殺された。被疑者
図3-72 指名手配のポスター(チラシ)をどこで見たか(昭和47年3月)
の前歴や逃走の際の所持金がわずかであることから再犯の可能性が強いと判断した警察庁で10月9日特別手配(注)を行なったところ、11月6日民間からの匿名の電話通報があり、警察官が駅構内へ急行して被疑者を呼びとめ、本人であることを確認した上逮捕した(大阪)。
(注) 各都道府県警察で指名手配した被疑者のうちでも、特に悪質重要な犯罪を犯した者で、かつ、再犯のおそれが強く、その早期逮捕のため全国の警察による広域的捜査が必要とされている者を警察庁が指定して、各都道府県警察に重点的な捜査を指示するものである。
(1) 犯罪鑑識活動
最近の犯罪捜査においては、「人からの情報」が得にくくなっている。したがって、犯人が犯罪現場に遺留した物あるいはこん跡など、いわゆる「物からの情報」を活用する科学的捜査方法を強力に推進することが必要である。
犯罪鑑識は、法医学、化学、物理学、写真等の知識及び技術を応用したり、指紋、足こん跡等を利用して、科学的に犯罪を証明し、又は犯人を割り出すなどして犯罪捜査に寄与するものである。
ア 法医・理化学等の利用
最近における都道府県警察の法医・理化学(注1)関係の鑑定件数は、図3-73のとおり、年々増加の傾向にある。これは、凶悪事件、ひき逃げ事件の鑑定及び暴力団の取締りに関連するけん銃、覚せい剤等の鑑定が大幅に増加していることによる。
なお、鑑定の内容についてみると、多数の死傷者を伴う交通機関の事故事件をはじめ、工場災害等の大規模事故事件、爆破事件等高度な器材と技術を必要とする困難な鑑定事案が増加している。これに対しては、科学警察研究所、鑑識センター(注2)が積極的に鑑定及び技術援助を行なっている。
(注1) 法医・理化学とは、法医学、薬学、化学、物理学等をいう。
(注2) 鑑識センターは、都道府県警察では処理することのできない鑑定を行なう
図3-73 都道府県警察の法医・理化学鑑定件数(昭和43~47年)
図3-74 都道府県警察の血液型鑑定件数(昭和43~47年)
ため、東京、大阪、福岡及び北海道に設置されており、走査型電子顕微鏡・X線マイクロアナライザー等高度な器材を備えている。
(ア) 血液型の鑑定
殺人事件等の犯罪現場に残された血こん、だ液等を鑑定して血液型を識別することは、犯罪捜査上非常に重要なことである。最近における都道府県警察の血液型鑑定件数は、図3-74のとおり、年々増加し、鑑定総数の34%から38%を占めている。血液型鑑定は、ABO式をはじめ、MN式、Rh式、Q式、血清型等によって行なっている。
〔事例〕 昭和47年4月、大阪府下で、主婦絞殺事件が発生した。現場の血
図3-75 都道府県警察の塗膜片鑑定件数(昭和43~47年)
こんについて、ABO式、MN式及び血清型で鑑定を行なったところ、ABO式、MN式では被害者と血液型が一致したが、血清型では一致しなかった。その後、捜査によって判明した被疑者の血液型を鑑定したところ、ABO式、MN式、血清型いずれも現場に残された血こんと同型であることが確認され、犯行を否認していた被疑者もこの事実の前にこれを認めた(大阪)。
(イ) 自動車塗膜片の鑑定
ひき逃げ事件の捜査において、現場に落ちていたり、被害者の着衣に付着している塗膜片は、重要な資料となる。
これらの塗膜片を鑑定して、加害自動車の車種、車名、塗色等を割り出すことができる。
最近における都道府県警察の塗膜片の鑑定件数は、図3-75のとおりである。
〔事例〕 昭和47年1月、佐賀県下において、ひき逃げ死亡事件が発生した。
現場から採取した粟粒大の塗膜片を鑑定した結果、車種、車名、塗色等が判明したので、テレビ、ラジオを通じて公開捜査を行なったところ、市民から該当車両の通報があり、被疑者を逮捕することができた(佐賀)。
(ウ) ポリグラフ検査
人が「うそ」を言うときには、身体に微細な生理的変化が起きるので、これをポリグラフ(いわゆる「うそ発見器」)で測定し、心理学的、生理学的に検討して、供述の真偽を明らかにすることができる。
最近において、都道府県警察が実施したポリグラフの検査人員は、図3-76のとおりであり、検査対象の約85%は凶悪犯及び窃盗の被疑者である。
〔事例〕 昭和47年10月、京都市内の会社で、現金23万円の入った手さげ
図3-76 都道府県警察のポリグラフ検査人員(昭和43~47年)
金庫の盗難事件が発生した。捜査の結果、同社社員の乗用車のトランクから手さげ金庫が発見されたので、同人を逮捕して取り調べたが、犯行を否認した。そこで、ポリグラフ検査を行なったところ、反応がみとめられ、否認していた同人もその結果により犯行を認めた(京都)。
(エ) その他の鑑定
法医・理化学を利用した鑑定、検査は、血液型、塗膜片の鑑定、ポリグラフ検査のほかにも広範に行なわれている。
毛髪の識別、毛髪による血液型の鑑定、白骨化した頭がい骨に粘土などで肉づけする顔の復元、弾丸からの銃器の名称、型式等の特定、更に覚せい剤、シンナーの鑑定等に法医・理化学が活用される。
〔事例1〕 毛髪の鑑定
昭和46年3月から5月までの間に、群馬県下で発生した婦女暴行殺害事件(大久保事件)において、犯人の自動車や着衣から採取した毛髪を鑑定した結果、当時行方不明になっていた8人の女性のうちの6人の毛髪であることが証明された(群馬)。
〔事例2〕 復顔法
昭和47年5月、兵庫県下で白骨死体が発見された。身元を確認するため頭がい骨に肉づけを行なって顔を復元し、新聞紙上に発表したところ、似ている者を知っているとの通報があり、身元が判明した。その後、捜査の結果、殺人事件の被害者であることがわかり、犯人を逮捕することができた(兵庫)。
〔事例3〕 弾丸の鑑定
昭和47年6月、広島県下で、暴力団員がけん銃で射殺された。弾丸の鑑定の結果、使用けん銃の名称、型式が判明し、その後押収したけん銃と発射弾について比較鑑定を行ない、同けん銃が犯行に使用されたものであることを証明して犯人を検挙した(広島)。
イ 指紋、足こん跡
(ア) 指 紋
指紋は、万人不同、終生不変という特性があるので、個人識別を行なう上で絶対的な価値がある。
この指紋を犯罪捜査に利用する仕組みとしては、十指指紋制度と一指指紋制度とがある。
十指指紋制度は、検挙した被疑者の十指指紋を保管しておき、被疑者等の身元及び犯罪経歴を明らかにすることを目的とし、一指指紋制度は、検挙した被疑者の指紋を一指ごとに保管しておき、犯罪現場等から採取した遺留指紋と対照して被疑者を割り出すことを目的としている。図3-77は、最近における現場指紋による被疑者の確認数の推移を示したものである。
近年、犯罪現場における鑑識活動を強く推進してきたため、現場指紋等採取事件数は、しだいに増加の傾向をみせ、特に昭和45年以降は急激に増加している。
一方、遺留指紋により被疑者を確認した数は、昭和43年以降ほぼ横ばいの状況を示している。これは、犯行の手口が巧妙化したことによるためと考えられる。
警察庁においては、指紋業務に光学応用機器、電子計算組織等を導入して
図3-77 現場指紋採取事件数及び被疑者確認数(昭和43~47年)
現場指紋採取技術の向上及び指紋照合業務の効率化を図ることについて検討中である。
〔事例1〕 前記の兵庫県西宮市バラバラ殺人事件では、死体から採取した指紋により被害者の身元を確認し、これをもとに捜査を行なった結果、逃走寸前の被疑者(内妻)を逮捕することができた(兵庫)。
〔事例2〕 昭和45年8月、新宿駅付近をパトロール中の警察官が刺殺された事件について、現場近くに駐車中の自動車のボンネットから犯人のものと思われる掌紋(注)を採取した。
この掌紋を手かがりとして、1年余にわたり前歴者の指紋(掌紋)カードと対照した結果、昭和46年11月、約72万枚目に犯人を確認することができた(警視庁)。
(注) 掌紋は、指紋と同様に万人不同、終生不変という特性があるので、これを指紋カードに採取しておき、個人識別に利用している。
(イ) 足こん跡
足こん跡(足跡、タイヤこん、工具こん等)は、その大きさ、形、欠損等の特徴によって、被疑者又は車両の割出し、犯行の裏付け等に活用できる。犯罪現場等に残された足跡、タイヤこん、工具こん等の最近における採取状況は、図3-78に示すとおりである。
〔事例1〕 足跡
昭和46年6月から翌年3月にかけて広島県下で発生した窃盗事件について、犯罪現場から採取した足跡及び同種のくつを手配した。その結果、昭和47年3月、手配と同種のくつをはいた不審者を発見し、職務質問により被疑者であることを確認した(広島)。
〔事例2〕 タイヤこん
昭和47年5月、京都市内でひき逃げ事件が発生した。
被害者の着衣及び犯行現場に残されたタイヤこんにより、ひき逃げ車両の車種、車名、型式を割り出し、同種車両を捜査した結果、犯行車両を発見し、被疑者を検挙することができた(京都)。
図3-78 足跡その他のこん跡採取個数(昭和43~47年)
ウ モンタージュ写真
モンタージュ写真は、目撃者等の記憶に基づいて、何枚かの顔写真から特徴を選んで犯人に似た顔写真を合成するもので、広く犯罪捜査に利用される。最近におけるモンタージュ写真の作成人員及びそれに基づく被疑者の検
図3-79 モンタージュ写真作成人員及びそれに基づく被疑者検挙人員(昭和43~47年)
挙人員は、図3-79に示すとおりである。モンタージュ写真による被疑者の検挙人員は増加の傾向にあり、昭和47年中における検挙人員は5年前の2倍以上となっている。
〔事例〕 昭和47年2月、松山市内でタクシー運転手がナイフで刺され、現金を強奪される事件が発生した。
被害者の記憶をたよりにモンタージュ写真を作成し、これを配布して市民の協力を求めたところ、まもなく「成人式の記念写真に犯人に似た男が
写っている。」という通報があり、捜査の結果、被疑者を検挙することができた(愛媛)。
エ 警察犬
犬のきゅう覚は、人間の数千倍、また聴覚は、人間の数倍といわれている。このような特性により、警察犬は、犯罪捜査はもとより、行方不明者の捜索などにひろく利用されている。
警察犬の出動状況は図3-80のとおりである。
警察犬には、直轄警察犬と嘱託警察犬とがある。直轄警察犬は、都道府県警察が警察犬を直接飼育してこれを管理運用するものであり、嘱託警察犬は警察部外者が飼育している犬について、都道府県警察が審査を行ない、これに合格した優秀な犬を警察犬として嘱託するものである。昭和47年末現在、全国の直轄警察犬の数は31頭、また、嘱託警察犬の数は626頭である。
〔事例〕 昭和47年7月、都内銀座のビル内に深夜、黒装束、黒覆面の不審な男がひそんでいるのをビルの管理人が発見し、110番通報した。
直ちに、警察犬2頭が出動し、現場に残されていた黒覆面と短靴のにおいをもとに追跡を行なったところ、まもなく犯人を逮捕することができた。この犯人は、犯行前日に6年の刑期を終え刑務所を出所したばかりの「クモの陣十郎」と呼ばれている常習ビル荒しであった。
(2) 身元確認
警察では、航空機事故、風水害事故、その他の事故による死者について、その身元の確認を行なっている。
身元の確認には、人相、身体の特徴、着衣、所持品によるほか、指紋、歯型、血液型、スーパーインポーズ法(注1)等を活用している。身元の判明
図3-80 警察犬出動状況(昭和43~47年)
図3-81 身元不明死体票作成数及び身元確認数(昭和38~47年)
しない死体については、身元不明死体票(注2)を作成して、警察庁及び都道府県警察本部鑑識課で保管し、これと家出人票(注3)との対照を行なって、身元の確認に努めている。
昭和38年以降10年間の身元不明死体票の作成及び身元確認状況は、図3-81のとおりである。
昭和47年末現在、警察庁における身元不明死体票の保管数は、2万2,377枚、家出人票の保管数は、10万2,931枚である。
(注1) スーパーインポーズ法は、頭がい骨の写真と、その本人と思われる人の生前の写真とを重ねあわせて、同一人であるかどうかを法医学的に検査する方法である。
(注2) 身元不明死体票は、身元不明死者の着衣、身体特徴等を記入し、写真を添付したものである。
(注3) 家出人票は、家出人の着衣、身体特徴を記入し、写真を添付したものである。
〔事例1〕 昭和46年7月、岩手県雫石上空で自衛隊機と全日空機との接触墜落事故が発生し、全日空機の乗員、乗客の162名全員が死亡した。
このうち、51名の遺体は、損傷が特にひどく、個人の特定が困難な状況にあったが、自宅などから採取した指紋や歯科医のカルテと死者の指紋・歯型とを照合して、全員の身元を確認した(岩手)。
〔事例2〕 昭和36年9月、岩手県内の山林で白骨死体が発見されたが、身元は確認されないままになっていた。その後、岩手県警察本部に行方不明者の写真を持参して相談に来た人がおり、その写真をもとにスーパーインポーズ法による検査をしたところ、昭和47年8月遺体の身元を確認することができた(岩手)。
〔事例3〕 昭和47年3月、ある主婦が大阪府警察本部の「行方不明者を捜す相談所」に行方不明の姉のことについて相談に訪れた。身元不明死者記録簿(全国の身元不明死者の顔写真、身体特徴などを登載)により、この姉は、昭和37年2月、東京で死亡していたことが確認された(大阪)。
(3) コンピューターの活用による犯罪捜査
ア 犯罪手口照会
常習的な犯罪者は、その犯行形態が固定している場合が多い。そこで、この習性を利用し、強盗、窃盗、詐欺などの常習的な被疑者を検挙した場合、あるいは、これらの被疑者によって行なわれたと認められる犯罪の発生を知った場合は、その犯罪のやり方などについて犯罪手口資料を作成し、電子計算機に記録している。
この資料をもとに、警察庁及び都道府県警察では、新たに発生した犯罪について、同様な犯罪手口をもつ前歴者の有無を照会し、あるいは、検挙した被疑者についてその余罪の有無の検討を行ない、犯人及び余罪の割出しをはかっている。
昭和47年中、警察庁及び都道府県警察が犯罪手口資料を利用して犯人を割り出した数は1,958人、また、警察庁が余罪を割り出した数は4万3,757件である。
図3-82 オンライン・リアルタイムシステムの構想図
イ ぞう品照会
カメラ、自動車、オートバイが盗まれた場合には、被害品の特徴が電子計算機に記録される。不審なカメラ、自動車、オートバイについて照会があった場合には、既に電子計算機に記録された被害品と一致するかどうかが照合される。
昭和47年中に、警察庁に対して行なわれた照会のうち手配された被害品と一致したものは1,454件であった。
ウ 警察情報管理システムの創設
各都道府県警察でも、犯罪捜査に電子計算機を導入しているところが多いが、警察庁では全国の警察と犯罪捜査の情報網を一体化するため、昭和46年度より警察情報管理システムの開発を進めている。これは、警察庁に設置する大型電子計算機に犯罪者、家出人、車両等に関する情報資料を集中的に記録し、図3-82のように、第一線警察からの照会に対して、オンライン・リアルタイムシステムにより、即時に回答できるようにするもので、犯罪捜査に大きく貢献するものと期待されている。
(1) 国際犯罪~犯罪に国境はない~
近時、交通機関の飛躍的発達により、世界はますます狭くなり、それとともに犯罪は国境という枠を越えて敢行される。こうした外国人が被疑者又は被害者である事件、その他外国人又は外国が関係する事件を国際犯罪という。
図3-83は、我が国の国際犯罪のうち一般外国人(韓国・朝鮮人、中国人及び在日米軍等関係者を除く。)の推移をみたものである。この図からも明らかなように、刑法犯は、入国者数にほぼ比例して増加しており、特に万国博が開催された昭和45年には、大幅に増加している。
これを主要罪種別にみると、表3-12のとおりである。この表からも明らかなように、例年、粗暴犯、窃盗が上位を占め、知能犯がこれに次いで
図3-83 一般外国人の犯罪(昭和38~47年)
いる。粗暴犯、窃盗の大部分は、偶発的、衝動的に行なわれたものであるが、知能犯の中には、1人で数十件の余罪を持つ者があり、国際的詐欺常習者等による計画的犯行が認められる。
特別法犯の検挙人員は、例年かなりの数を示しているが、これは、外国人登録法違反が多いためである。
図3-84は、日本人の外国における犯罪の推移をみたものである。国外で犯罪を行なって検挙された日本人の数については、外務省、国際刑事警察機構(International Criminal Police Organization 略称 ICPO)からの通報により判断せざるを得ないが、絶対数は少ないものの増加傾向にある。ま
表3-12 一般外国人主要罪種別検挙人員数の推移(昭和38~47年)
表3-13 在日米軍関係者の検挙人員(昭和38~47年)
た、昭和47年は、テルアビブ空港における乱射事件のような凶悪犯や組織的な麻薬不正取引事案のようなものが発生した。
在日米軍関係者(米軍人、軍属及びその家族等)による犯罪は表3-13のとおりである。
なお、本表には復帰後の沖縄における検挙人員数は含まれていないが、沖
図3-84 日本人の外国(沖縄を除く。)における犯罪(昭和38~47年)
縄1県に本土全体を上回る米軍関係者が駐留していることもあって、昭和47年中の同県の検挙人員は、ほぼ本土と同数(総数392人、うち刑法犯250人)である。
このような国際犯罪の捜査にあたっては、外国語はもとより、国際条約、各国刑事法等に精通した捜査官の養成、空港、港等国際犯罪者の立ち回りが予想される箇所の警察力の強化、ICPOを中心とした外国捜査機関との緊密な連携と協力が重要である。
(2) ICPOの活動~比重を増す捜査の国際協力~
ア ICPOの沿革と組織・機能
ICPOは、前述のような犯罪の国際化に対処するために設けられたものであり、1923年(大正12年)設立後50年にわたる歴史をもっている。
我が国がこのICPOに加盟したのは、1952年(昭和27年)であるが、現在の加盟国は、実に114箇国の多きに達している。現在、ICPOは、国際連合と特別協定を締結した政府間機関の地位を有するに至り、その果たす役割は極めて大きい。ICPOの目的は、犯罪の予防及び鎮圧のため、加盟国刑事警
図3-85 ICPOの組織
察相互の最大限の協力を確保・推進することにある。
この目的を達成するため、図3-85のとおりパリに事務総局が置かれ、各加盟国には国家中央事務局がそれぞれ設置されている。我が国の場合、国家中央事務局は警察庁である。事務総局は、各加盟国の警察から犯罪情報を受け、各種資料を整備して加盟国の利便に供し、その捜査活動を援助している。また、国家中央事務局は、事務総局及び他の加盟国警察と緊密な連携を保持しつつ国際協力を行なっている。各加盟国の代表によって構成される総会は、ICPOの最高機関であり、毎年開催され、活動の基本方針を決定する。
イ 活動の実態
ICPOの主要な業務は、犯罪情報の交換と国際手配である。
(ア) 犯罪情報の交換
犯罪の国際化に伴い、ICPO加盟国相互の犯罪情報交換は、著しく増加している。
ちなみに、最近10年間の我が国のICPO交信量の推移をみると、図3-
図3-86 ICPO発・受信数(昭和38~47年)
86に示されるように、東京無線局が開設された昭和42年を契機に飛躍的に伸長しており、昭和47年の交信数3,284件は、10年前の交信数852件に比べ、約4倍の増加を示している。この情報交換は、迅速・的確に行なう必要があり、ICPOは、無線網の拡充・整備に努めている。現在、全世界に43の無線局が存在するが、東京無線局は、東南アジア地域中央無線局として、東南アジアの加盟国の利便に供されている。
(イ) 国際手配
事務総局は、各加盟国から送付された情報資料を一定の方式のもとに分類保管し、情報センターの役割を果たすとともに、加盟国の要請に基づき国際手配書による国際手配を行なっている。
我が国は、この手配をもとにして、特に悪質で入国可能性のある10人を選定し、「10人手配」として全国警察に手配をしている。また、国際手配されている盗難美術品のうち、世界的名画・美術工芸品12点を選定して、昭和47年、初めて国内に手配した。これには、京都近代美術館から盗まれたロートレック作「マルセル」も含まれている。
(ウ) 主な捜査共助事例
〔事例1〕 テルアビブ空港乱射事件
昭和47年5月30日夜、イスラエルのテルアビブ・ロッド空港において、3人のゲリラが自動小銃を乱射し、多数の死傷者を出した。犯人は、2人が死亡し1人が逮捕された。犯人の自供、所持したパスポート等から、犯人は日本人であることが判明した。我が国警察は、これらの身元の確認、他に存在する可能性のある共犯者の捜査等について積極的に協力し、謀議に参画した共犯者1人を殺人容疑で10月26日関係諸国に手配した。
〔事例2〕 香港における宝石強奪事件
昭和47年10月24日、4人の中国人が香港の宝石店から、約110万香港ドル相当の宝石類を強奪した。香港警察より、盗品処分のため東京へ潜入した中国人男1人の所在確認依頼があり、警察庁は直ちに所在を確認の上、出国日時等を香港警察に通報した。香港警察は、この通報により11月28日啓徳空港において同人を逮捕した。
〔事例3〕 日本人グループによる国際麻薬取引事件
昭和47年11月、スウェーデンのストックホルムで8名の日本人を含むグループが約60キログラムの麻薬を密輸した容疑で逮捕された。
ICPOを通じて協力方依頼があり、警察庁とスウェーデン、フィンランド、西ドイツ、スイス、イタリア各国警察の協力により、同グループは、欧州を舞台にした日本人21人を含む総勢29人という大がかりな国際麻薬密売団であることが判明した(主犯格の日本人2人については、昭和48年3月、日本国内において逮捕した。)。
(1) 根強い暴力団
ア 暴力団の実態と動向
昭和47年12月末現在、全国の警察では握している暴力団の団体数及び構成員数は、図3-87のとおり、2,957団体、12万3,044人で、前年と比較
図3-87 暴力団団体数及び構成員数の推移(昭和38~47年)
すると、257団体(7.9%)、6,388人(4.9%)減少している。暴力団の団体数、構成員数が最も多かった昭和38年に比較すると、団体数で約半数、構成員数で約6万人が減少したことになる。
このように暴力団の勢力が減少した理由は、ここ十数年間警察が強力な取
図3-88 都道府県別暴力団の構成員数(昭和47年)
締りを継続したことと、これを支援する幅広い市民の暴力排除活動があったためと考えられる。
また、昭和46年2月、警察庁で悪質な大規模広域暴力団7団体(山口組系団体、大日本平和会系団体、松友睦系団体、日本国粋会系団体、稲川会系団体、住吉連合系団体、元極東愛桜連合会系団体。以下「指定7団体」という。)を取締重点対象に指定し、以後、その取締りを継続実施しているところであるが、昭和47年末における指定7団体の勢力状況は、875団体(全暴力団の29.6%)、3万3,012人(全構成員の26.8%)であり、前年末と比較して8団体、445人の減少となっている。暴力団構成員の地域別分布をみると、図3-88のとおり、構成員が5,000人を越えるのは、東京、神奈川、愛知、大阪、兵庫の5都府県で、大都市に集中する傾向が強い。
これら暴力団の最近における特徴的な動向は、次のとおりである。
(ア) 広域暴力団の系列化の進展
2以上の都道府県にわたって組織を有する暴力団(以下「広域暴力団」という。)は、昭和47年末現在で、91系統(1つの系統には数団体から数百団体が属しており、昭和47年末における1系統あたりの平均は23団体、753人である。)、2,102団体(全暴力団の71%)、6万8,523人(全暴力団の79.5%)となっており、前年と比較すると、団体数及び構成員数とも減少しているが、全暴力団中に占める広域暴力団の比率は、年々2ないし3%くらい増加しており、広域暴力団の系列化の傾向が進展していることがうかがわれる。このことは、警察の取締りの強化に伴い、弱小団体が広域暴力団の系列下に入り、警察の取締りに対して組織防衛を図ろうとしているためではないかと考えられる。
山口組は、昭和35年以降急激な勢力拡大を続け、昭和40年に若干減少したのを除き、警察の取締りの強化にもかかわらず、その勢力は毎年拡大を続けてきた。しかし、昭和47年末には、2府32県で449団体、1万229人となり、前年末に比較して団体数で26団体、構成員数で452人の減少を示した。
(イ) 大規模暴力団相互の提携による勢力の拡大
警察の取締りの強化に伴って、大規模暴力団相互の交盃(暴力団独特の儀式により盃を呑み分けて擬制血縁関係を結ぶもの)を通じて提携を強め、相互のあつれきをさけて勢力の温存、拡大を図ろうとする動向がある。特に、昭和47年10月、山口組と稲川会が交盃し、東西両大規模暴力団が提携したことは注目すべきである。
従来、暴力団の他府県進出の状況をみると、対立抗争などを通じ、力で他団体を屈伏させる方法が一般的であったが、最近においては、警察の取締りによる打撃を避けようとする動きがあり、これが大規模暴力団相互の交盃という形で現出しているのではないかと考えられる。
(ウ) 「義理かけ」は自粛の傾向
暴力団の行なう襲名披露、放免祝等のいわゆる「義理かけ」は、世論の強い批判と警察の取締りの強化により自粛の方向にあったが、昭和47年は、更に、地域ごとに暴力団首領が会合を重ね、互いに「義理かけ」自粛をすることを申し合わせている。すなわち、在京の暴力団の首領ら10人が、昭和47年6月「関東例会」(10団体)を発足させ、「義理かけ」自粛について申し合わせたのをはじめ、関西においても、山口組の提唱により「阪神懇談会」(7団体)、「関西懇話会」(18団体)が発足し、また、中京地区においても「東海三県懇談会」(21団体)を発足させ、「義理かけ」自粛について申し合わせを行なっている。
イ 暴力団犯罪の状況
昭和47年中における暴力団による犯罪の検挙状況は、5万4,927件、4万
図3-89 暴力団犯罪検挙件数及び検挙人員の推移(昭和38~47年)
8,177人で、前年に比較し、件数で9.4%、人員において10.7%と、ともに増加している。
暴力団犯罪は、図3-89のとおり、いわゆる第1次頂上作戦が実施された昭和39年、40年がピークであり、以後は減少の傾向をたどっていたが、昭和45年から増加に転じ、昭和47年においてもこの傾向は続いている。
最近の暴力団犯罪の特徴を列挙すると次のとおりである。
(ア) 殺人の増加
昭和47年中の暴力団員による殺人事件の検挙状況は、329件、524人であり、前年と比較すると44件(15.4%)、19人(3.8%)と増加している。これらのなかでは、対立抗争事件におけるけん銃使用の殺人が目立っている。
(イ) 資金源をめぐる犯罪の増加
昭和47年中に検挙した暴力団犯罪を罪種別にみると、表3-14のとおり、と博、覚せい剤事犯、詐欺、恐喝、競馬・競輪等公営競技をめぐるのみ行為など暴力団が主要な資金源にしていると思われる犯罪の検挙が増加している。
これら資金源犯罪のうちでも、昭和47年は特に覚せい剤事犯の増加が著しく、検挙者は前年の約2倍になっており、暴力団がいかに覚せい剤の密売に力を注いでいるかがわかる。
また、暴力団が組織ぐるみで信用保証制度や手形制度あるいは自動車損害賠償責任保険制度の盲点を利用して、多額の不正利益を得るという事犯が発生し、新しい資金源犯罪として注目された。
一方、会社、銀行等の役職員の不正、内紛等をタネにした大型の恐喝事犯が多数検挙され、暴力団が新たな資金源の場を企業に求めて食い込んでいく傾向にあることがうかがわれた。
昭和47年中に警察庁に報告のあった事件54件についてみると、建設会社を対象とした恐喝事件17件、被害額合計1億6,000万円、金融機関を対象とした恐喝事件12件、被害額合計2億5,000万円、その他会社等を対象とした恐喝事件25件、被害額合計6,000万円であった。
表3-14 罪種別暴力団犯罪検挙状況(昭和46、47年)
〔事例1〕 暴力団幹部らによる大規模な覚せい剤密輸密売事件
博徒共政会幹部ら17名は、昭和46年末から昭和47年10月ごろまでの間、韓国釜山から覚せい剤を密輸し、広島、大阪、京都各府県下で組員を通じて820グラムの覚せい剤を密売し、総額約1億6,400万円の利益を得ていた(広島)。
〔事例2〕 山口組組員らによる信用保証融資制度を悪用した詐欺事件
山口組組員ら56名は、単独あるいは共謀の上、昭和42年8月から昭和45年1月までの間に、兵庫県信用保証協会の係員らに対し、あたかも事業を営んでいるように仮装し、信用保証委託申込書に虚構の事実を記載し
図3-90 けん銃押収数の推移(昭和38~47年)
て提出し、金融機関から融資を受けてその保証債務を同協会に負担させ、約9,000万円に及ぶ財産上木法の利益を得ていたが、昭和47年に発覚し検挙された(兵庫)。
(ウ) けん銃押収数は戦後最高
昭和47年中に暴力団から押収したけん銃は、図3-90のとおり778丁(うちモデルガン改造けん銃は532丁)であり、これは戦後最多押収数であった。
押収数の増加原因は、モデルガン改造けん銃事犯の摘発によるものであり、大がかりな組織的密造、密売事犯の検挙もみられた。
〔事例〕 暴力団幹部らによる組織的なけん銃密造・密売事件
博徒侠道会幹部らは、昭和46年6月ごろから昭和47年3月ごろまでの間、松山市内の自己が経営するレンタカー事務所ほか1箇所において、大阪市、松山市で購入したがん具けん銃を改造してけん銃60丁余りを製造し、1丁2万円から10万円で暴力団員に密売していた(愛媛)。
(エ) 対立抗争事件の減少
昭和47年中に発生した対立抗争事件は、図3-91のとおり64件であ
図3-91 暴力団対立抗争事件発生件数の推移(昭和38~47年)
り、前年と比較すると18件減少している。しかし、これら対立抗争事件のなかには、けん銃を使用して相手を射殺する事案もかなりみられ、凶悪化の傾向を示している。また、対立抗争事件の原因として、昭和47年は覚せい剤の密売利権をめぐるものが目立った。
〔事例〕 山口組系豪友会と侠道会高知支部との覚せい剤密売利権をめぐる対立抗争事件
高知市内に本拠を有する山ロ組系豪友会と、侠道会高知支部は、覚せい剤密売の利権をめぐり対立していたが、昭和47年1月24日豪友会組員らが高知市内のホテルに侠道会幹部をら致してリンチを加えた事件を発端にして、同年8月6日夕刻、侠道会組員らは豪友会幹部1人をけん銃で射殺した。豪友会は、これに対する報復として翌朝侠道会組員を散弾銃でそ撃して1人に重傷を負わせるとともに、侠道会に応援のため来県した組員に自動車内からけん銃を乱射した。報復を受けた侠道会では、更にまた、その報復を企て、8月19日早朝、マシンガン、けん銃を所持して豪友会事務所に殴り込み、マシンガン等を発射して事務所ガラス等を破損した(高知)。
(2) 暴力団の根絶のために
昭和45年ごろから、全国にわたって組織を有する悪質な大規模広域暴力団の活動が活発化し、組織の広域化、系列化の傾向が著しくなってきたので、警察では昭和46年2月以降、前述した指定7団体に重点をおき、刑事、防犯、保安部門の捜査員からなるプロジェクトチームを編成して、長期的展望に立った全国規模の取締りを実施してきた。
ア 資金源の封圧
資金源をめぐる犯罪については、と博、のみ行為、覚せい剤等の暴力団の主要資金源事犯及び金融、債権取立、手形取引をめぐる、いわゆる知能暴力事犯の取締りに重点をおいて資金源の封圧に努めてきた。
特に、と博の検挙については、資金源封圧のみならず、頂上検挙、構成員の大量検挙、余罪の追及等の効果があるところから、暴力団取締りの有効な戦術として、これを積極的に推進してきた。この結果、昭和47年中における暴力団関係のと博犯検挙は2,811件、9,615人に達し、ここ10数年では最高の成果をおさめた。また、前述した信用保証制度を悪用した詐欺事件については、この種事犯が全国的に敢行されているおそれがあったことから、警察庁においても、全国信用保証協会連合会との間で、この種事犯の未然防止と早期発見及び検挙を図るため、各都道府県警察と各信用保証協会とが緊密な連携を保っていくことを申し合わせた。
更に、暴力団の資金源封圧対策の一環として、税務当局との密接な連携のもとに、従来から暴力団構成員の所得に対し課税措置を講じてきたところであるが、昭和47年も9都道府県において、43件、6億1,980万円の課税通報をした。
イ 首領、幹部を含む構成員の大量検挙
暴力団組織を解散に導くためには、首領、幹部級を含む構成員の大量検挙が必要である。このため、昭和47年も前年に引き続き、首領、幹部を含む構成員の大量検挙を推進してきた結果、全暴力団構成員に対する年間検挙延べ人員の割合(検挙率)は、39.2%となり、戦後最高を記録した。特に、
図3-92 暴力団の地位別検挙人員の推移(昭和38~47年)
前記指定7団体については、その検挙率が55.7%となり、これらの組織に検挙活動が重点的に指向されたことを如実に示している。
首領、幹部級の検挙については、図3-92のとおり、首領は延べ1,077人(前年比17人減)、幹部は7,227人(前年比1,112人増)であり、一応の成果をあげている。
ウ けん銃の摘発
ここ数年、暴力団によるけん銃の所持、及び使用事案の増加が目立ってきたので、昭和47年においても、けん銃の摘発を強力に実施した。
特に最近は、既に述べたように、モデルガンを改造したいわゆる改造けん銃の所持、使用事案が激増している状況にかんがみ、入手経路、製造工場の究明に努め、前述の博徒侠道会今治支部幹部らによるけん銃密造・密売事件の検挙(愛媛)をはじめ、大がかりなけん銃密造・密売事件を多数検挙した。
エ 街頭暴力事犯の取締り
いわゆる街頭暴力事犯その他市民生活の平穏を直接侵害する暴力事犯についても、これを看過することなく積極的な姿勢で強力な取締りを実施してきた。そのため、既に述べたように粗暴犯の発生が減少し、また、盛り場、温泉地、観光地等における街頭暴力事犯もすっかり影をひそめるにいたった。
警視庁においては、これら街頭暴力事犯取締りの一環として、通信指令室に「暴力追放110番」を開設し、市民からの110番による暴力事犯の届出や相談に、暴力犯罪に精通したベテラン刑事が応待し、これを迅速適切に処理する制度を実施し相当な成果をあげた。
オ 被害者等の保護
暴力団犯罪は、背後に凶悪な組織力が控えているだけに、お礼参り等の報復措置をおそれて被害者、参考人が被害の届出や調書の作成に応じない場合が少なくない。
関係者のこのような危惧を取り除いて取締りに対する協力を得るには、これら事件当事者となった人々に暴力団に立ち向かう勇気をもってもらうとともに、お礼参り事件が絶対に発生しないよう万全の保護措置を講ずることが必要である。
昭和47年中においても、これらお礼参り事件等を防止するため、被害者、参考人の総点検を実施したり、レター作戦(被害者等に手紙を出し、お礼参りがないかどうかを問い、必要により保護措置を講ずる方策)を行なったり、また、電話等により直接被害者、参考人にお礼参りの有無を問い、お礼参り等の事案の発生が予想される場合は、暴力取締担当課に設置されている特設電話の番号等を教示して、警察への即報体制がとれるようにするなど、この種事犯の防止を図っている。
(1) 第33回衆議院議員総選挙の違反取締り
第33回衆議院議員総選挙は、昭和47年11月13日衆議院が解散されたことに伴い、同月20日公示され、12月10日施行されたが、前回(昭和44年12月27日施行)に続いての師走選挙であった。
この総選挙では、各党では「当選第一主義」を打ち出し、候補者をしぼったため、491名の定員に対し、立候補者895名で、競争率1.82倍と戦後最低の競争率であったが、厳しい政治情勢のなかにあって少数激戦の選挙区が目立ち、選挙戦はし烈をきわめた。
警察は、選挙の秩序を維持し、その公正確保に寄与するため、厳正公平な立場で違反取締りにあたったが、その結果の概要は次のとおりである。
ア 検挙状況
(ア) 総数
投票日後90日現在における検挙総数は9,085件、1万5,906人(うち逮捕1,595人)であって、前回(昭和44年)同期の8,872件、1万4,776人(うち逮捕1,785人)に比較し、件数で213件(2.4%)、人員で1,140人(7.7%)の増加を示しているが、うち逮捕人員では190人(10.6%)の減少となっている。
(イ) 罪種別
検挙状況を罪種別にみると、表3-15及び図3-93のとおりであって、買収が件数で88.8%、人員で89.9%を占めている。また、検挙人員を前回同期と比較すると、買収は1,909人増加しているが、その他は戸別訪問が553人減少したのをはじめ、いずれも減少している。
イ 警告状況
表3-15 衆議院議員総選挙における違反検挙状況(第32回:昭和45年3月27日現在 第33回:昭和48年3月10日現在)
図3-93 第33回衆議院議員総選挙における罪種別検挙人員(昭和48年3月10日現在)
表3-16 衆議院議員総選挙における違反警告件数(第32回:昭和45年1月27日現在 第33回:昭和48年1月10日現在)
警告の実施状況をみると、表3-16のとおりであって、前回に比較し4,483件(29.3%)の増加を示している。警告がこのように増加したのは、関係者の動きが早くから活発であり、公示前の警告が特に多かったことなどがその主な原因であると考えられる。
(2) 地方選挙の違反取締り
昭和47年中における地方公共団体の長及び議会の議員の選挙は、知事7件(福島、群馬、埼玉、三重、岡山、山口、沖縄)、都府県議19件(うち補
表3-17 昭和47年中施行各種地方選挙における違反検挙状況(昭和48年5月31日現在)
欠・再選挙18件)、市町村長585件、市町村議551件(うち補欠・増員選挙162件)、合計1,162件施行されたが、これらの選挙における違反検挙状況は、表3-17のとおりである。
さきにみたように、昭和47年の刑法犯の認知件数は、最近10年間の最低を記録したが、長期的にみると、依然として120万件台で、横ばい傾向をたどっている。これらが120万件を割って大きく下降カーブを描くようにになるかどうかは更に長期的な分析を待たなければならない。
しかしながら、犯罪の動向を数量的に分析する一方、その中にみられる犯罪の質的な変化にも目を向ける必要がある。それは、既に指摘されているように、都市化の進展や国民の意識の変化とともに、犯罪現象においても今後欧米と同様の軌跡を描くのではないかと懸念されているからである。
犯罪の質的変化については、既に本章各節において、犯罪の態様別にそれぞれ分析してきたところであるが、ここであらためて列挙してみると、次のとおりである。
第1に、「くるま社会」の出現とともに、自動車が犯罪の手段や逃走に使われるなど、自動車と犯罪の結びつきが極めて密接なものとなり、必然的に犯罪の広域化とスピード化の傾向が顕著になっている。特に凶悪犯では、自動車を利用して死体を遠方に捨てたり、隠ぺいするなど犯行手口も悪質巧妙化する一方である。
第2に、ものの考え方が自己中心的になり、従来最も強い人間関係で結ばれていたはずの親子、兄弟姉妹、夫婦等の近親者間においても犯罪が多発する傾向にある。犯罪の動機をみても自己本位的な、ごく単純なものが多い。
第3に、科学技術の高度な発達や社会活動の大型化、活発化、都市の過密化とともに航空機や列車などの大量輸送機関の事故、ビルや地下街の火災事件、ガス爆発事故のような多数の死傷者を伴う大規模な事故事件が多発の傾向にあり、従来の捜査体制や捜査方法ではまかないきれなくなっている。
第4に、常習的職業的犯罪者による犯行が目立ち、その内容も夜間無人となる事務所をねらったり、貴金属、書画、骨とう・美術品、刀剣をねらう窃盗や、土地をめぐる知能犯が目立っている。
第5に、地域開発等をめぐる贈収賄事件も多発の傾向にあるが、その手口は、次第に潜在化、巧妙化し、情報の入手が困難になりつつある。
第6に、暴力団は、系列化の動きが活発で、表面的には合法的営業を装って資金を得るなど、犯罪の手口も巧妙化、悪質化する傾向を強めている。
一般に、産業の発達や都市化の進展に伴う社会構造の複雑化は、犯罪を増加させる方向に作用すると考えられている。アメリカ、イギリス等の欧米諸国が一様に犯罪の急増に悩んでいることから考えると、産業の発達や都市化の進展は犯罪の動向と何らかの因果関係を有していると考えられる。しかしながら、我が国は、高度の経済成長をとげ、同時に都市化現象が極めて顕著であるにもかかわらず、犯罪の発生状況は、欧米諸国のそれときわだって対照的である。
犯罪の促進なり抑止につながる要因はこのほかにもいくつか考えられる。例えば、アメリカにおける犯罪の急増と警察の検挙能力の低さとの悪循環に示されるように、警察の高い検挙能力は犯罪の抑止力となってはたらく。また、国民性や、経済の動向、地域的、家族的連帯感、教育水準等も重要な要因である。
犯罪捜査にあたる者にとって、これらの要因の解明は極めて重要な課題であり、同時にこれらの要因をしっかりと見定めることによって各種の施策を講じていかなければならない。
特に、最近の犯罪の質的変化とともに、情報が得にくくなるなど捜査活動の困難化が著しく、新しい時代に即応した捜査方法、捜査体制の開発が急務となっている。
以上のような状況をふまえ、警察としては、当面、以下にのべるような施策を重点として多くの犯罪を検挙すべく努力を続けなければならない。
第1に、捜査の長期化、困難化に対処するために広域的な初動捜査体制を確立整備し、犯罪の早期検挙を図る必要がある。犯罪情報の収集分析と、推理によって組み立てられていた従来の伝統的な捜査手法も大切であるが、今後は、捜査効率等の観点から犯人を現場において早期に捕捉する捜査手法を定着させていかなければならない。このためには、常設検問所等を中心とした緊急配備体制の整備、機動捜査隊の拡充強化などにより、常時、緊急事態に対処できる体制の確立が必要である。
第2に、今後も多発が予想される新しい型の犯罪に対しては、早期に大量の捜査力を投入できる体制を確立するとともに、平素から訓練等を通じて緊急突発の事態に対処できるように努力する必要がある。また、高度な専門的科学的な知識技術を有する捜査員の養成にも配意しなければならない。
第3に、常習化潜在化する犯罪に対しては、新しい捜査方法の開発導入に努めるとともに、情報収集活動を強化しなければならない。
第4に、科学資器材を活用した捜査の推進を図らなければならない。このためには、犯罪現場における捜査資料を綿密に採取し、採取した資料を最新の科学技術を駆使して鑑定、検査することによって捜査に積極的に活用していかなければならない。
更に、収集された各種の捜査情報については、コンピューターの積極的な活用により、科学的合理的な運用を図る必要がある。
第5に、犯罪捜査に対する国民協力の確保にも十分配意しなければならない。特に、犯罪者との接触が予想される人々との協力体制や、公開捜査などを通じて積極的に国民との連携を深めるべきであろう。
第6に、諸外国との文化的経済的交流が活発になるとともに、国際間の犯罪も増加し、国際的な捜査共助が大きな課題になろうとしているが、今後はICPOの活動を中心とした新しい国際犯罪捜査体制を確立しなければならない。
最後に、新しい社会の流れに即応できる捜査員を養成するために、長期的展望に立った刑事教養の推進に努めなければならない。特に、捜査活動の基本ともいうべき、聞込み、尾行、取調べ等の捜査技術の教養については、計画的なOJTを取り入れるなど、更にいっそう強化すべきであろう。
さきにも述べたように、警察の高い検挙能力は、犯罪の抑止力としてはたらき、同時に、警察に対する国民の信頼を得るための方策につながる。警察は、より多くの国民の信頼を基盤として犯罪とのあくなき闘いを続けなければならない。